Springe auf Hauptinhalt Springe auf Hauptmenü Springe auf SiteSearch
Exakte Wellen- bzw. Scheibenausrichtung

Praktischer Service offener Antriebe

Obgleich offene Antriebe wegen der Wellenabdichtungsproblematik für Verdichter von Sicherheitskältemitteln weitgehend aus der Mode gekommen sind, sind sie dennoch in vielen Bereichen der Kälte- und Klimatechnik nach wie vor präsent und notwendig. So sei verwiesen auf offene Ammoniakverdichter, Pumpen aller Art und nicht zuletzt auf die vielen verschiedenen Lüfter in der Klimatechnik.

Offene Antriebe, eine kurze Einführung

Unter offenen Antrieben verstehen wir allgemein solche Antriebe, bei denen Motor und Last völlig getrennte, unabhängige Komponenten sind, zwischen denen die Kraftübertragung auf geeignete Art und Weise z.B. durch Riemen oder Kupplungen erfolgt. Somit unterscheiden wir hier Riemen- und Kupplungstransmission.

Die Wellenausrichtung bei Riementransmission ist erforderlich, um den Verschleiß von Keilriemen oder Keilrippenriemen auf ein Minimum zu beschränken. Weiterhin hängt der Riemenverschleiß von einer vorschriftsmäßigen Riemenspannung ab. Ein zu loser Riemen weist erhöhten Verschleiß durch Erwärmung auf, während zu starke Riemenspannung in erster Linie zu erhöhter Lagerbelastung führt.

Bei Kupplungstransmissionen hingegen wirken sich alle Abweichungen von der idealen Wellenausrichtung negativ sowohl auf die Lebensdauer der Kupplung als auch der Lager aus. Winkelabweichungen führen hier zusätzlich zu periodisch-schwellenden Belastungen, die obendrein unerwünschte Vibrationen verursachen können.

Zunächst sind ein paar allgemeine Hinweise zur Riementransmission erwähnenswert. Heutzutage sind üblicherweise Keilriemen in Gebrauch. Zur Übertragung größerer Momente werden neben Keilrippenriemen auch parallele mehrfache Keilriemen eingesetzt. Allen Prinzipien gemeinsam ist, dass sowohl Keil- als auch Keilrippenriemen nur an den Flanken tragen, vgl. Bild 2.

Ein zu schmaler Riemen würde gleichsam in die Riemenscheibe hineinrutschen, womit die Flanken nicht mehr genügend Reibung aufweisen. Unzureichende Kraftübertragung und ein Verbrennen des Riemens wären die Folge. Ist der Riemen jedoch zu breit, taucht er nicht tief genug in die Riemenscheibe ein, wodurch er zwar nach wie vor nur auf den Flanken trägt, aber auf einer zu kleinen Fläche. Erhöhter Flankenverschleiß ist die Folge. Bei allen Wartungsarbeiten ist also neben dem Verschleißzustand die korrekte Riemengröße zu prüfen, gegebenenfalls ist der Riemen gegen einen geeigneten auszutauschen!

Anmerkung: Bei Mehrfachriemen sind grundsätzlich alle parallelen Riemen zu erneuern und gegen gleiche Exemplare desselben Herstellers auszutauschen!

Nachdem die erforderlichen Vorarbeiten (Kontrolle, ggf. Austausch der Riemen) durchgeführt wurden, erfolgt das eigentliche Ausrichten der Wellen sowie das Spannen der Riemen, das nach etwa 50 bis 100 Betriebsstunden nochmals überprüft werden sollte.

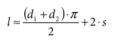
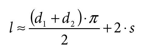
Hier noch ein Praxistipp: Bisweilen sind Riemenlängen zu ermitteln, sei es, dass der Wert auf dem alten Riemen unleserlich geworden ist oder sogar gar kein Riemen mehr vorhanden ist. Neben verschiedenen Methoden, zum Beispiel improvisierte Riemen aus einer alten Elektroleitung anzufertigen, aufzulegen und nachzumessen, hat sich folgende Näherung bewährt:

Man bringe den Motorschlitten, der zum Spannen des Riemens dient, in Mittelstellung und messe den Abstand der beiden Wellenzentren (s) sowie den Durchmesser beider Riemenscheiben (d 1 , d 2 ).

Die erforderliche Riemenlänge ergibt sich nun näherungsweise zu


Obige Näherung wird übrigens exakt, wenn beide Riemenscheiben oder Pulleys gleichen Durchmesser aufweisen. Die praktische Genauigkeit ist allerdings auch bei verschiedenen Durchmessern noch absolut genügend, da Restungenauigkeiten ohnehin beim notwendigen Spannen des Riemens ausgeglichen werden.

Obwohl die Kupplungstransmission kon­struktiv oft einfacher als die Riementransmission ist, bereitet die Ausrichtung der Wellen dem Praktiker häufig größere Schwierigkeiten. Als Gründe hierfür können geringere Toleranzbereiche sowie schlechtere optische Sichtbarkeit kleiner Abweichungen gelten. Auch führt im Gegensatz zur Riementransmission ein intuitives Arbeiten seltener zum Erfolg.

Eine Vielzahl verschiedener Kupplungen findet Anwendung, denen eines gemeinsam ist. Die Wellen müssen höhen- und winkelmäßig sehr engtoleriert gegeneinander ausgerichtet sein, um weder das Kupplungselement, zum Beispiel eine Hardyscheibe, noch die Lager unnötig stark zu belasten.

Erforderliche Spezialwerkzeuge

Natürlich wird der erfahrene Praktiker in weiten Bereichen seinem Gefühl und Augenmaß vertrauen, dennoch sei darauf hingewiesen, dass es spezielle Werkzeuge gibt, die nicht nur dem Ungeübten ein professionelles und reproduzierbares Ergebnis ermöglichen. Es seien daher speziell erwähnt:

  • Drehmomentschlüssel
  • Messschieber (Schublehre)
  • Fühlerblattlehre (Ventillehre)
  • Abstands-Kegellehre (Taper Gauge)
  • Stahllineal
  • Maschinenwinkel
  • Messgerät für Riemenspannung (Riemenwaage)

Unter Umständen kann, um behelfsmäßig im Feld eine schnelle Lösung herbeizuführen, im Notfall auf entsprechende Messwerkzeuge verzichtet werden. Dennoch sollte das Ergebnis im Hinblick auf nachhaltige Arbeit und Zuverlässigkeit der Reparatur so schnell wie möglich professionell überprüft werden.

Ausrichten von Riemenscheiben

Fehlstellungen der Wellen bzw. Riemenscheiben bei Riementransmissionen sind auch vom Ungeübten optisch sehr leicht zu erkennen und zu beheben, wenn die Beurteilung der Ausrichtung zweckmäßig bei aufgelegtem Riemen erfolgt. Fehlstellungen äußern sich stets in einem seitlichen Ab­knicken des Riemens an der Stelle, wo er tangential die Riemenscheibe verlässt. Obgleich die Beurteilung relativ leicht fällt, können mit-hilfe eines Stahllineals als Referenz feinere Abweichungen festgestellt werden.

Es ist ohne Weiteres möglich, die in Abbildung 5 ersichtlichen Fehlstellungswinkel messtechnisch zu ermitteln und daraus die erforderlichen Korrekturmaßnahmen zu berechnen. Allerdings ist dieser Aufwand gar nicht nötig, da der aufgelegte Riemen gleichsam ein ideales Anzeigeinstrument der Abweichungen darstellt und somit intuitive Korrektur erlaubt. Dieses ist auch einer der Hauptgründe, warum dem Praktiker die Riemenscheibenausrichtung wesentlich leichter fällt als die Wellenausrichtung bei Kupplungstransmissionen.

Ausgehend von Seiten- und Winkelabweichung empfiehlt es sich, mithilfe des Stahllineals zunächst die Winkelabweichung durch Korrektur des Motorschlittens oder Unterfüttern des Motors zu beseitigen, s. Bild 6. Referenz ist stets der Riemen, da in der Regel verschieden geformte Riemenscheiben vorhanden sind.

Nun lässt sich die Seitenabweichung durch Verschieben des Motors beseitigen, wodurch sich ein optisch gerader Riemen wie in Abbildung 1 ergibt. Zum Schluss wird der Riemen nach Herstellervorschrift gespannt. Hierzu werden spezielle Messgeräte für die Riemenspannung benötigt. Sind im Notfall Wert und/oder Messgerät nicht vorhanden, verhindert folgende bewährte praktische Faustregel ein Unter- oder Überspannen des Riemens:

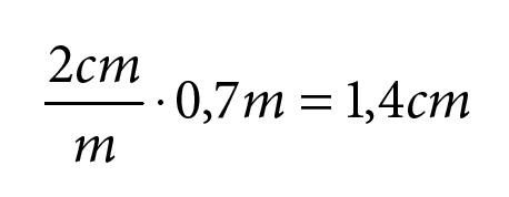
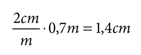
Zwischen den Riemenscheiben sollte sich der Riemen pro Meter Abstand zwischen den Wellen mit kräftigem Daumendruck ca. 2 cm durchdrücken lassen.

Beispiel:


Ausrichten von Kupplungswellen

Das Ausrichten von Kupplungswellen gestaltet sich für den Ungeübten ungleich schwieriger, zum einen, da bereits eine unbefriedigende Ausrichtung optisch einwandfrei erscheinen kann, zum anderen, weil intuitive Methoden wegen der nicht sequentiell zu lösenden Dreidimensionalität des Problems versagen oder sehr zeitaufwendig sind.

Der Verfasser hat daher hier eine Technik entwickelt, die, basierend auf ein paar Messungen, eine rechnerische Lösung bietet. Die Verifizierung bei Feldversuchen erfolgte mit absolut ungeübten Personen, denen mit-hilfe dieser einfachen Methode ausnahmslos und schnell zufriedenstellende Lösungen gelangen.

Ausgehend von einem Problem wie in Bild 8.1 ist durch Unterfüttern zunächst eine Situation gemäß Bild 8.2 zu schaffen. Hierbei ist darauf zu achten, dass wie dargestellt die treibende Scheibe etwas niedriger, als die angetriebene Scheibe steht. Gleichzeitig muss der Scheibenabstand oben etwas größer als unten sein. Der Scheibenabstand als solches ist natürlich an der Stärke der zu montierenden Kupplung zu orientieren. Alle Befestigungsbolzen sind mit dem vorgeschriebenen Drehmoment anzuziehen!

Nun werden alle erforderlichen Maße, wie im rechten Teil von Bild 8.2 dargestellt, genommen.

Hinweise:

  • Scheibenabstand a und b mit Kegellehre auf 1/10 mm genau gemäß Bild 9
  • Höhendifferenz b mit Fühlerblattlehre und Maschinenwinkel auf 1/10 mm genau gemäß Bild 9
  • d, s 2 und s 1 mit Stahllineal auf 1 mm genau

Nun erfolgt die Berechnung der zusätzlichen in Paket 1 und Paket 2 erforderlichen Unterfütterungsstärke, um die Wellen auszurichten:


Nach Unterfüttern des Motors und erneutem Festziehen der Bolzen mit dem erforderlichen Drehmoment ergibt sich nun eine Situation gemäß Bild 8.3

Nun bleibt noch, die Wellenausrichtung aus einer um 90° versetzten Perspektive zu überprüfen (Bild 8.4) und gegebenenfalls zu korrigieren. Ein abschließendes Rechenbeispiel möge die Einfachheit der Methode verdeutlichen:

Messungen nach Bild 8.2:

a = 15,3 mm

b = 13,8 mm

d = 126 mm

h = 0,7 mm

s 1 = 324 mm

s 2 = 95 mm


Ergebnis: Das Unterfütterungspaket P1 ist um 4,56 mm zu verstärken, das Paket 2 um 1,83 mm.

Zusammenfassung

Offene Antriebe spielen in der Kälte- und Klimatechnik noch immer eine nicht zu unterschätzende Rolle bei bestimmten Verdichtern, Pumpen und Lüftern. Da Installation und Wartung jedoch aufgrund der Vielzahl mittlerweile hermetischer oder semihermetischer Verdichter nicht mehr zwangsläufig zum täglichen Brot des Kälte- und Klimamonteurs gehören, stehen insbesondere jüngere, unerfahrene Monteure hier bisweilen vor schier unlösbaren Aufgaben.

Eine exakte Wellen- bzw. Scheibenausrichtung garantiert höchste Laufruhe und Lebensdauer von Riemen, Kupplungen und Lagern. Der Verfasser erläutert die Notwendigkeit der Wellen- und Scheibenausrichtung im Allgemeinen und stellt, jeweils in Abhängigkeit von der Antriebsart, praktische Methoden zur Durchführung vor, die auch den Ungeübten in kurzer Zeit sicher ans Ziel führen. -

Norbert Ludwig,

ehemaliger Schulleiter an der Norddeutschen Kälte-Fachschule, lebt und arbeitet heute in der Nähe von Johannesburg in Südafrika

Jetzt weiterlesen und profitieren.

+ KK E-Paper-Ausgabe – jeden Monat neu
+ Kostenfreien Zugang zu unserem Online-Archiv
+ Fokus KK: Sonderhefte (PDF)
+ Webinare und Veranstaltungen mit Rabatten
uvm.

Premium Mitgliedschaft

2 Monate kostenlos testen