Springe auf Hauptinhalt Springe auf Hauptmenü Springe auf SiteSearch
Optimierte Betriebsführung aus automatisierungstechnischer Sicht

Energetische Bewertung von Kälteanlagen

Wie bereits auf der DKV-Tagung 2005 als ausführlicher Beitrag beschrieben, kommt einer energieeffizienten Kältetechnik in den nächsten Jahren ein zunehmend höherer Stellenwert zu [1]. Ausgehend von europäischen Richtlinien, wie die Richtlinie über die Gesamtenergieeffizienz von Gebäuden (EPBD) [2], die in Deutschland in Form der DIN V 18599 [3] umgesetzt wurde, werden zunehmend Forderungen an den energieeffizienten Betrieb von Klima- und Kälteanlagen gestellt. Auch die EU-Richtlinie zur Endenergie­effizienz und Energiedienstleistungen [4] wird mit ihrer Umsetzung einen wesentlichen Einfluss auf eine erhöhte Energieeffizienz von Kälteanlagen haben.

Diese Rahmenbedingungen bedeuten in ihrer Gesamtheit für alle Branchenbeteiligte ein starkes Umdenken im Planen, Bauen und Betreiben von Gebäuden und deren Anlagentechnik. Insbesondere dem Nachhaltigkeitsgedanken und einem energieeffizienten Gebäude- und Anlagenbetrieb wird mit der Betrachtung einer Gesamtenergieeffizienz stärker Rechnung getragen. Ebenso rückt die ganzheitliche Betrachtung des Lebenszyklus eines Gebäudes und dessen Anlagentechnik zunehmend in den Fokus von Wirtschaftlichkeitsbetrachtungen (LCC Life Cycle Costs).

Um das Ziel eines energieeffizienten und letztendlich nachhaltigen Betriebs erreichen zu können, ist es notwendig, eine auf die konkreten Anforderungen und die spezifische Anlagentechnik optimal angepasste Automatisierungslösung umzusetzen. Aus automatisierungstechnischer Sicht ist daher eine ganzheitliche Betrachtung eines kältetechnischen Gesamtsystems, bestehend aus der Kälteanlage der Kälteverteilung und der Kältenutzung, entscheidend, wie dies in Bild 1 als Übersicht dargestellt ist.

Für einen energieeffizienten Betrieb von Anlagen und/oder Gebäuden ist es unerlässlich, dass alle hierfür erforderlichen Informationen zeitnah erfasst, an eine geeignete Stelle übertragen, archiviert und visualisiert werden. Dies ermöglicht, wichtige Prozessgrößen, wie z.B. Temperatur- und Druckverläufe oder Energieverbrauchswerte, direkt oder auch zu einem beliebigen späteren Zeitpunkt auswerten zu können. Dazu werden die wichtigsten energietechnischen Anlagen heutzutage über entsprechende Kommunikationssysteme auf eine übergeordnete Gebäudeautomation aufgeschaltet, die es ermöglicht, auf alle relevanten Daten der Anlagen jederzeit zugreifen zu können.

Umgesetzt in automatisierungstechnische Lösungen entstehen Strukturen in mehreren Ebenen gemäß Bild 2.

Neben der Struktur eines geeigneten Automatisierungskonzeptes steht und fällt ein Energiemanagement mit der geeigneten Erfassung von Daten bzw. darauf aufbauenden Informationen, um Anlagen im laufenden Betrieb energetisch bewerten, gezielt optimieren und im Sinne eines Benchmarkings mit anderen Anlagen energetisch vergleichen zu können. Erst durch die Ermittlung von eindeutigen Energiekenngrößen ist es möglich, eine Anlage energetisch objektiv zu bewerten und diese im Vergleich zu Anlagen anderer Größe und Typ ins Verhältnis zu setzen.

Hierzu besteht insbesondere in der gewerblichen Kältetechnik noch ein erheblicher Bedarf an eindeutigen Festlegungen, damit nicht die berühmten und oft zitierten Äpfel mit Birnen verglichen werden. Die nachfolgenden Ausführungen stellen den Versuch dar, hierfür zu sensibilisieren und eine Systematik in die energetische Bewertung von Kälteanlagen-Systemen zu bringen, indem Vorschläge für eine eindeutige Systembilanzierung und ein entsprechendes Messkonzept gemacht werden.

Wünschenswert ist es, dass auf dieser Basis zukünftig Mindeststandards an Kälteanlagen verbindlich vorgegeben werden, damit Kälteanlagen ab einer bestimmten Größe ständig energetisch überwacht und bilanziert werden können und somit auch die Basis für eine kontinuierliche Online-Betriebsoptimierung geschaffen wird.

Festlegung von Energiekenngrößen für Kälteanlagen

Aufgrund des zunehmenden Strebens nach höherer Energieeffizienz gewinnt die energetische Bewertung von Energieumwandlungsprozessen eine immer größere Bedeutung. Dies gilt sowohl für einzelne Komponenten (z.B. Verdichter, Wärmeaustauscher) als auch für einen Kältekreislauf oder für eine gesamte Kälteanlage inkl. Energieverteilung mit Kältespeicher bis zur Nutzenübergabe.

Mithilfe moderner Messtechnik und Informationsverarbeitung können energetische Größen immer kostengünstiger und genauer gemessen werden und als berechnete Energiekenngrößen (EPI-Energy Performance Indicator) zur energetischen Bewertung von Anlagen herangezogen werden, siehe [6]. Der eindeutigen ­Vergleichbarkeit im Sinne eines Benchmarkings stehen allerdings drei wesentliche Hürden entgegen:

  • Die eindeutige Definition der zu betrachtenden Bilanzhülle mit Festlegung einer eindeutigen Systemgrenze (s. Abschnitt System- und Bilanzbetrachtung)
  • Die eindeutige Definition und Berechnung von Energieeffizienz-Kenngrößen (s. Abschnitt Übersicht zu energetischen Kenngrößen)
  • Die Festlegung eindeutiger und verbindlicher Messkonzepte (s. Abschnitt Vorschläge für die praktische Umsetzung)

Auf diese drei Kernaspekte wird in den folgenden Ausführungen näher eingegangen. Zuvor soll aber noch das Thema Energieverbrauchskennwert als mögliche Effizienzkenngröße diskutiert werden, da der Energieverbrauch einer Anlage häufig zur energetischen Bewertung herangezogen wird. Um dies zu verdeutlichen, werden vorab zwei Beispiele aus anderen Bereichen herangezogen.

Beim Autofahren nehmen wir z.B. als Vergleichsgröße für den Energieverbrauch die Größe x Liter Benzin/Diesel auf 100km. Selbstverständlich wissen wir aus der praktischen Erfahrung, dass es nur Sinn macht, vergleichbare Autotypen (z.B. Mittelklassewagen, Sportwagen etc.) mit vergleichbarem Baujahr miteinander zu vergleichen. Bei Gebäuden benutzen wir als Bezugsgröße für den Energieverbrauch üblicherweise die Angabe in x kWh pro Quadratmeter Bezugsfläche und Jahr. Basierend auf Energie­verbrauchswerten vieler erfasster Gebäude finden sich in der VDI-Richtlinie 3807 [7] oder der AGES-Studie [8], bezogen auf bestimmte Gebäudetypen (z.B. Verwaltungsgebäude, Schulen usw.), typische Verbrauchskennwerte als Mittel- und Richtwerte für den spezifischen Heizenergie- oder Stromverbrauch.

Daten für einen spezifischen Kälteverbrauch finden sich jedoch in diesen Studien nicht. Es gibt lediglich z.B. eine Rubrik zu Verkaufsstätten, bei denen im Stromverbrauch auch Kälteanlagen enthalten sind, soweit die Kälteanlagen elektrisch betrieben werden. In der AGES-Studie wird eine Tabelle aufgeführt, die Verbrauchskennwerte für thermische Energie, Strom- und Wasserverbrauch von Lebensmittelmärkten auflistet. Allerdings basieren diese Zahlen auf einer Studie des EHI Retail Institute, die bereits auf das Jahr 1994 zurückgeht. Daten für spezifische Kälteverbrauchskennwerte fehlen auch hier.

Somit kann festgehalten werden, dass es in Deutschland keine systematische Grundlage über Energiekennzahlen für den spezifischen Kälteverbrauch in Gebäuden gibt. Im Falle der üblich eingesetzten elektrisch betriebenen Kompressions-Kältemaschinen ist der Kälteverbrauch i.d.R. lediglich als Teil des insgesamt gemessenen Stromverbrauchs enthalten.

Erwähnt werden soll an dieser Stelle der in der Schweiz entwickelte Minergie-Standard für gewerbliche Kälte [9]. Hierbei wurde mit der Kältevergleichszahl (KVZ) eine Kenngröße auf Basis des elektrischen Energieverbrauchs pro laufenden Meter Kühlmöbel und Jahr festgelegt. Als Zielwert wird nach diesem Standard ein Wert von maximal 4000kWh pro laufenden Meter Kühlmöbel und Jahr vorgegeben. Bild 3 zeigt als Beispiel die Auflistung der Märkte der Migros Genossenschaften [10].

Dies ist sicherlich bereits ein guter Ansatz, aber nicht ausreichend für eine Energieeffizienz-Kenngröße (EPI) zur ener­getischen Bewertung von Kälteanlagen. Unabhängig davon, ob für den spezifischen Kälteenergieverbrauch eine flächenbezogene ­Normierungsgröße pro m² Ladenfläche oder der laufende Meter Kühlmöbel die bessere Vergleichsgröße darstellt, wird lediglich der Aufwand für die Bereitstellung der Kälte gemessen und ver­gleichend gegenübergestellt. Im Sinne einer Bewertung der Energieeffizienz, die immer das Verhältnis eines Nutzens zum Aufwand bilanzieren muss, ist bei einer reinen Energieverbrauchsmessung somit lediglich der Energieaufwand erfasst. Der damit erzielte Nutzen, hier die bereitgestellte Nutz-Kälteenergie, ist jedoch nicht erfasst. Der Nutzen, d.h. die Kälteenergie, wird in der Praxis leider nur selten z.B. über einen separaten Kältemengenzähler bei indirekten Kälteanlagen erfasst.

System- und Bilanzbetrachtung

Wichtig für die energetische Bewertung von Energiesystemen ist eine eindeutige und transparente Festlegung der Systemgrenzen und des Bilanzierungsraumes. Bild 4 zeigt vier Ebenen der Bilanzierung mit Auflistung typischer Beispiele, bezogen auf unterschiedliche Bilanzräume wie Komponenten (Aggregate), Anlagen, Anlagen-Systeme und ganze Gebäude.

Kältetechnische Gesamtsysteme gemäß Bild 1 sind nach dieser Einteilung der Ebene Anlagen-System zuzuordnen. Um gemessene energetische Kenngrößen nun eindeutig einer bestimmten Bilanzgrenze zuordnen zu können, bedarf es deren eindeutigen Bezeichnung. In Anlehnung an VDI 2067-Teil 6, die sich mit Wärmepumpenanlagen beschäftigt, wird für eine Systemabgrenzung eines kältetechnischen Gesamtsystems als Kälteanlagen-Gesamtsystem (KAS) eine Terminologie nach Bild 5 vorgeschlagen.

Der Energiefluss von der Kälteerzeugung über die Kältever­teilung zur Kältenutzung ist in Bild 6 dargestellt. Ausgehend von der bereitgestellten Erzeuger-Nutzkälteabgabe Q 0, Ab der Kälteanlage steht abzüglich der auftretenden Verluste (Speicherverluste, Verteilverluste) die für die Kälteanwendung nutzbare NutzKälteenergie Q 0, nutz an der Kälteübergabe zur Verfügung. Als Aufwand müssen einerseits die elektrische Energie für die Kältemaschine bzw. das Kälteaggregat als auch alle Energien für die Hilfsaggregate aufgebracht werden. Entscheidend für die ­energetische Bewertung der kältetechnischen Gesamtanlage ist die Festlegung der Systemgrenze zur Bilanzierung von Nutzen zu Aufwand.

Übersicht zu energetischen Kenngrößen

Kennzahlen zur energetischen Bewertung einer Komponente, eines Gerätes oder einer ganzen Anlage stellen immer das Verhältnis des Nutzens zum Aufwand dar. Wichtig hierbei ist jedoch der Bezug zur jeweiligen Bilanzgrenze und der genauen Definition, was den Nutzen und was den Aufwand darstellt, wie dies im vorhergehenden Kapitel diskutiert wurde. Außerdem ist darauf zu achten, ob als ­Verhältnis leistungsbezogene oder energiebezogene Größen herangezogen werden. Zum Beispiel darf der COP (Leistungskenngröße) einer Wärmepumpe niemals direkt verglichen werden mit der Jahres­arbeitszahl (Energiekenngröße) einer Wärmepumpe.

Schließlich ist auch darauf zu achten, ob es sich bei den angegebenen Werten um Messungen im Labor bzw. unter festen Testbedingungen handelt oder um in realen Anlagen im laufenden Betrieb gemessene Werte. Wichtig für das Verständnis ist schließlich, dass sich diese Kenngrößen zum Teil auf einzelne Komponenten beziehen (z.B. Verdichter, Wasser-/Luftkühler) und zum Teil auf ganze Anlagen (z.B. Wärmepumpen, Kaltwassersätze).

Für die energetische Bewertung von Kältemaschinen bzw. Wärmepumpen werden teilweise basierend auf verschiedenen Normen oder Richtlinien leider mehrere, zum Teil unterschiedliche, aber auch zum Teil mehrfach verwendete energetische Kenngrößen verwendet, was in der Praxis häufig zur Verwirrung und Verwechslung führt.

Typische energetische Kenngrößen sind:

Leistungskenngrößen (Verhältnis Nutzleistung zur aufgenommenen Leistung):

  • Kälteleistungszahl ε K (Carnot, effektiv, isentrop, innere, äußere)
  • Gütegrad η (Carnot, isentrop, real)
  • Wirkungsgrad η (mechanisch, elektrisch)
  • COP (Coefficient of Performance)
  • EER (Energy Efficiency Ratio)
  • ESEER (European Seasonal Energy Efficiency Ratio)
  • IPLV (Integrated Part Load Value)

Energie-Kenngrößen (Verhältnis Nutzenergie zu aufgenommener Energie):

  • Jahresarbeitszahl JAZ bzw. β
  • Seasonal Performance Faktor SPF

Als Basis empfiehlt es sich, hier auf die einschlägigen Normen, Richtlinien, Arbeitsblätter und Fachliteratur, wie z.B. [12][17], zurückzugreifen.

Ausgehend von den thermodynamischen Grundlagen sind im Folgenden ohne Anspruch auf Vollständigkeit einige Definitionen für wichtige energetische Bewertungsgrößen in kompakter Form zusammengestellt.

Zur energetischen Bewertung von Arbeitsmaschinen (linksläufiger Kreisprozess) wird üblicherweise die Leistungszahl ε herangezogen. Allerdings gibt es auch hier je nach Bilanzgrenze und Betrachtungsweise unterschiedliche Definitionen.

Für den (idealen) Kältemaschinen-Betrieb gilt die CarnotKälteleistungszahl:


Als effektive (oder auch tatsächliche) Kälteleistungszahl wird das Verhältnis der tatsächlichen Kälteleistung zur tatsächlichen Antriebsleistung bezeichnet.


Hierbei wird die Kälteleistung z.B. nach EN 12900 [18] ermittelt, und für die Leistung wird bei offenen Verdichtern die Antriebsleistung an der Welle P mech und bei halbhermetischen oder hermetischen Verdichtern die elektrische Anschlussleistung P el herangezogen.

Aus der elektrischen Anschlussleistung lässt sich über die Beziehung


mit dem Motor-Wirkungsgrad die mechanische Wellenleistung bestimmen.

Diese effektive Kälteleistungszahl wird in der Praxis häufig auch als COP (Coefficient of Performance) bezeichnet, was leider zur Verwirrung führen kann, da der COP nach DIN EN 14511 als Wärme­leistungszahl für Wärmepumpen im Heizbetrieb definiert ist.

Das Verhältnis von effektiver Leistungszahl und der Carnot-Leistungszahl bei einer Verdichter-Kältemaschine bzw. gesamten Kälteanlage wird nach [12] als Carnot-Gütegrad oder reversibler Gütegrad bezeichnet:


Welche konkrete Kälteleistung (Gesamt-, Netto- oder Nutz­kälteleistung) zu welcher konkreten Aufwandsleistung (Wellen­leistung, Klemmenleistung, Leistungen für Hilfsaggregate) zur Ermittlung der berechneten Kälteleistungszahl ins Verhältnis gesetzt werden soll, wird allerdings nach [12] nicht festgelegt.

Im Folgenden werden stichpunktartig weitere in der Praxis ­verwendete energetische Kenngrößen aufgelistet:

  • Leistungszahl ε (nach VDI 4650 bzw. EN 255) für Wärmepumpen

Nach VDI 4650 ist die Leistungszahl ε das Verhältnis des bei bestimmten Betriebsbedingungen abgegebenen Nutzwärmestroms bezogen auf die eingesetzte elektrische Leistung für den Antrieb des Verdichters und der Hilfsantriebe nach DIN EN 255.

  • Leistungszahl ε bzw. COP (Coefficient of Performance) für Wärmepumpen (nach DIN EN 15450 bzw. DIN EN 14511-1)

Bei Wärmepumpen wird nach DIN EN 15450 bzw. EN 14511-1 die Leistungszahl ε bzw. der COP (Coefficient of Performance) definiert als das Verhältnis der Heizleistung für die Raumheizung und ggf. Trinkwasserbereitung zur effektiven Leistungsaufnahme des Gerätes. Die effektive Leistungsaufnahme umfasst hierbei die elektrische Leistungsaufnahme des Verdichters zuzüglich der erforderlichen Leistungen für z.B. Abtauheizung, Regelungsgeräte, Ventilatoren usw. Dabei ist zu beachten, dass der COP immer auf bestimmte feste Betriebspunkte (z.B. W10/W35) bezogen ist.

  • Kälteleistungszahl EER (Energy Efficiency Ratio) für Kältemaschinen im Volllastbetrieb und unter Prüfbedingungen (nach Eurovent)

Diese Kennzahl stellt das Verhältnis aus Nennkälteleistung (Nutzen) zu Antriebsleistung (Aufwand) unter vorgegebenen Auslegungsbedingungen für Flüssigkeitskühlsätze dar, wobei beim Aufwand auch die erforderlichen Hilfsenergien für z.B. Sicherheits- und Kontrolleinrichtungen, sowie für Pumpen- und Ventilator-Leistungen berücksichtigt werden. Im Heizbetrieb wird der Wert als COP-Wert angegeben.

  • Kälteleistungszahl ESEER (European Seasonal Energy Efficiency Ratio) nach Eurovent für Kältemaschinen, Kaltwassersätze (Chiller) und Wärmepumpen im Kühlbetrieb mit Berücksichtigung des Teillastbetriebs

In Ergänzung zu den Werten für COP und EER zur Beurteilung der energetischen Effizienz von Klima-, Kühl- und Heizgeräten bei Voll- bzw. Nennlast stellt der ESEER eine Kombination aus Teil­lastwerten für den Heizbetrieb (COP) und Kühlbetrieb (EER) für Flüssigkeitskühlsätze (Chiller) unter fest definierten Betriebs- und Prüfbedingungen dar. Hiermit soll insbesondere der in der ­Praxis deutlich überwiegende Teillastbetrieb der Geräte berück­sichtigt werden.

  • Teilleistungszahl IPLV (Integrated Part Load Value)

Alternativ zum ESEER gibt es mit dem IPLV-Wert (Integrated Part Load Value) gemäß ARI-Terminologie einen Wert zur Berücksichtigung des Teillastverhaltens nach ARI 550/590-98, der auch den Teillastbetrieb von Flüssigkeitskühlern bei Lüftungsgeräten im Nicht-Wohnungsbereich berücksichtigt.

  • Jahresarbeitszahl JAZ oder β (engl. SPF Seasonal Performance Factor)

Die Jahresarbeitszahl SPF (Seasonal Performance Factor) wird üblicherweise bei Wärmepumpen-Systemen angegeben und ist nach DIN EN 15316-4-2 das Verhältnis aus der Summe des Gesamt-Raumheizwärmebedarfs des Raumheizungs-Verteilungssystems und des Gesamt-Nutzwärmebedarfs für das Trinkwarmwasser-Verteilungssystems zu der Gesamt-Elektroenergiezufuhr für Wärmepumpe und etwaige Zusatzheizer zuzüglich der Gesamthilfsenergiezufuhr.

Will man nun eine energetische Bewertung von Kälteanlagen-Gesamtsystemen im laufenden Betrieb unter Berücksichtigung der Kältemaschine, der Energieverteilung (Hydraulik), der Nutzenübergabe (z.B. Wärmeaustauscher) inkl. der erforderlichen Steuer- und Regelungstechnik mit allen Hilfsenergien durchführen, ist es erforderlich, auch hierzu eine genaue Bilanzierung mit eindeutigen Systemgrenzen durchzuführen. Hierbei kann für die Teilsysteme, wie eine Kältemaschine oder eine Wärmepumpe, auf bereits eingeführte energetische Kenngrößen wie COP, EER usw. zurückgegriffen werden. Bemerkenswert ist allerdings, dass es bisher keine einheitliche Definition als gesamtenergetische Bilanzierung für das Verhältnis der einem Raum zugeführten Nutzkälteleistung bzw. -energie zu den insgesamt aufgebrachten elektrischen Leistungen bzw. Energien gibt.

Zusammenfassend ist im Bild 7 eine Übersicht zu möglichen Energiekenngrößen, bezogen auf die festzulegenden Bilanzräume, aufgelistet. Es ist festzuhalten, dass es für Kälteanlagen-Gesamt­systeme zurzeit keine eindeutige Definition für eine Energieeffizienz-Kenngröße im Sinne eines Nutzen-Aufwand-Verhältnisses gibt, das zudem im praktischen Betrieb messtechnisch ermittelt werden kann.

Vorschläge für die praktische Umsetzung

Auf Basis der vorausgegangenen Darstellungen werden im Folgenden Effizienz-Kenngrößen vorgeschlagen, mit denen Kälteanlagen-Gesamtsysteme (KAS) im laufenden Betrieb hinsichtlich ihrer Energieeffizienz bewertet werden können. Wichtig hierbei ist, dass es sich nicht um Kenngrößen handelt, die nur unter Labor- bzw. Prüfbedingungen ermittelt werden können, sondern dass diese Kenngrößen im praktischen Betrieb an realen Anlagen kontinuierlich gemessen werden können.

In Analogie zur Betrachtung bei Wärmepumpen mit der Leistungszahl bzw. COP als leistungsbezogene Kenngröße und der Jahresarbeitszahl bzw. SPF als energetische Kenngröße werden im Folgenden sowohl eine leistungsbezogene als auch eine energiebezogene Kenngröße für Kälteanlagen-Systeme eingeführt.

Die leistungsbezogene Kenngröße TEER (Total Energy Efficiency Ratio) wird definiert als das Verhältnis von Nutz-Kälteleistung zur Summe der aufgenommenen elektrischen Leistungen gemäß:


Die Größe TEER ist eine Leistungszahl und erlaubt somit eine Momentanbewertung des Gesamtsystems.

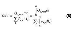
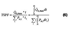
Als energetische Effizienzkenngröße wird die Arbeitszahl TSPF (Total Seasonal Performance Factor) definiert gemäß:


Die Größe TSPF ist eine Arbeitszahl, wobei als Zeitperiode ein Tag, eine Woche, ein Monat oder ein Jahr gewählt werden kann. Da mit dieser Größe alle elektrischen Energien inkl. der Hilfsenergien erfasst werden und mit der bereitgestellten Nutz-Kälteenergie ins Verhältnis gesetzt werden, ist mit dem TSPF somit eine Effizienzbewertung eines Kälteanlagen-Gesamtsystems im laufenden Betrieb möglich.

Grundsätzlich sind beide Kenngrößen bei jedem Kälteanlagen-System messtechnisch erfassbar. Das Messkonzept erfordert eine kontinuierliche Überwachung und Aufzeichnung der relevanten Betriebs- und Energieparameter. Es ist angelehnt an die DIN EN 15450 [17] und sieht wie folgt aus:

  • Kontinuierliche direkte Messung der elektrischen Leistungen aller Aggregate (inkl. der Hilfskomponenten) mit digitalen bzw. auslesbaren Elektrozählern
  • Kontinuierliche direkte Messung der Nutz-Kälteleistung mit Hilfe eines Kältemengenzählers (oder separat Vor-/Rücklauftemperatur und Massenstrom) als externes Verfahren oder alternativ
  • Indirekte Messung über ein Kältemittelbilanzverfahren (internes Verfahren)
  • Hieraus Ermittlung der Leistungszahl TEER sowie Arbeitszahl TSPF nach Gleichung (5) bzw. (6) über festzulegenden Zeitraum (z.B. Monat)

Zusammenfassung und Ausblick

Um Kälteanlagen bzw. kältetechnische Gesamtsysteme hinsichtlich Energieeffizienz möglichst objektiv und vergleichend im Sinne eines Benchmarkings bewerten zu können, werden passende Energieeffizienz-Kenngrößen (EPI-Energy Performance Indicator) benötigt, die auch im praktischen Betrieb von Kälteanlagen kontinuierlich erfasst, berechnet und ausgewertet werden können. Dazu ist es erforderlich, eindeutige Bilanzgrenzen für eine energetische Bewertung von Komponenten, Anlagen oder ganze Anlagen-Systeme festzulegen, damit bei vergleichenden Gegenüberstellungen aussagekräftige Ergebnisse erzielt werden können.

Ausgehend von der Vorgabe geeigneter Bilanzräume und Systemgrenzen wurden Energieeffizienz-Kenngrößen vorgestellt, die sowohl auf Basis von Leistungsgrößen als auch auf Basis von Energiegrößen eine Aussage über die Energieeffizienz von Kälteanlagen-Systemen im Sinne einer Nutzen-Aufwand-Betrachtung ermöglichen.

Für den Bilanzraum des Kälteanlagen-Gesamtsystems (KAS) wurden zur energetischen Bewertung die Kenngrößen Total Energy Efficiency Ratio (TEER) als Leistungszahl und Total Seasonal Performance Factor (TSPF) als Arbeitszahl eingeführt. Diese Kenngrößen haben den Vorteil, dass sie im praktischen Betrieb bei Umsetzung eines passenden Messkonzepts kontinuierlich berechnet werden können. Es ist vorgesehen, in nächster Zeit an konkreten Anlagen Erfahrungen mit diesen Kenngrößen zu sammeln und das Messverfahren bei Bedarf zu verfeinern.

Insbesondere auf Basis der energetischen Kenngröße Arbeitszahl TSPF wäre es wünschenswert und sinnvoll ähnlich wie bei der Jahresarbeitszahl JAZ von Wärmepumpen nach DIN EN 15450 Mindestwerte an die energetische Effizienz von Kälteanlagen zu definieren, die dann im praktischen Betrieb von Kälteanlagen für den Anlagenbetreiber durch ständiges Monitoring überwacht und überprüft werden können. Dies hat einen doppelten Nutzen: Einerseits können durch ein verbessertes Energiemanagement die laufenden Betriebskosten reduziert werden und anderseits liefert diese Vorgehensweise einen nicht unerheblichen Beitrag zum Umweltschutz und damit einem aktiven Klimaschutz.

Hierzu müssen allerdings noch umfangreiche Voruntersuchungen und Feldmessungen durchgeführt werden, um Erfahrungswerte mit den heute in der Praxis erzielbaren Arbeitszahlen von Kälteanlagen-Systemen zu erhalten. Auch müssen von der In­dustrie noch geeignete Geräte bzw. Algorithmen speziell für die energetische Bewertung von Kälteanlagen nach der internen Methode entwickelt und erprobt werden. Langfristiges Ziel sollte es sein, dass der Betreiber eine einfache Möglichkeit erhält, die Energieeffizienz seiner Kälteversorgung über einen Energieeffizienz-Indikator oder eine Energie-Ampel angezeigt zu bekommen.-

Als Vortrag gehalten bei der DKV-Jahrestagung 2008 in Ulm.

Literatur

[1] Becker, M.: Energieeffizienz in der Kältetechnik durch adäquaten Einsatz von Auto­matisierungstechnik, DKV-Tagungsband 2005, Band IV, S. 1732

[2] Richtlinie 2002/91/EG des Europäischen Parlaments und des Rates vom 16. Dezember 2002 über die Gesamtenergieeffizienz von Gebäuden (EPBD), Amtsblatt der Euro­päischen Union, 04.01.2003, S. L 1/651/71

[3] DIN V 18599: Energetische Bewertung von Gebäuden, Teile 110, 2005

[4] Richtlinie 2006/32/EG des Europäischen Parlaments und des Rates vom 5. April 2006 über Endenergieeffizienz und Energiedienstleistungen, Amtsblatt der Europäischen Union, 27.04.2006, S. L 114/64114/85

[5] Becker, M.: Automatisierung kältetechnischer Anlagen auf Basis der mathematischen Modellierung des Gesamtsystems. Dissertation, Universität Kaiserslautern, Fortschritt-Berichte VDI, Reihe 19, Nr. 86, VDI-Verlag, Düsseldorf 1996

[6] DIN EN 16001: Energiemanagementsysteme Anforderungen mit Anleitung zur Anwendung, Entwurf, Beuth-Verlag, März 2008

[7] VDI-Richtlinie 3807: Energieverbrauchskennwerte für Gebäude, Blätter 14, BeuthVerlag

[8] ages-Studie: Energieverbrauchskennwerte 2005 Energie- und Wasserverbrauchs­kennwerte in der Bundesrepublik Deutschland, Forschungsbericht der ages GmbH, Münster, Febr. 2007

[9] Minergie-Standard Anwendungshilfe, Teil 2 Kapitel 2, Zusatzanforderungen für gewerbliche Kälte bei der Kategorie V Verkauf, Stand Jan. 2007, Minergie Agentur Bau, Schweiz

[10] Berger, Urs: Kosten senken mit effizienter Kältetechnik, Vortrag auf Tagung Energiemanagement im Einzelhandel, EHI Retail Institut, 28.10.2008, Köln

[11] VDI-Richtlinie 2067 Teil 6: Berechnung der Kosten von Wärmeversorgungsanlagen Wärmepumpen, Beuth-Verlag, Sept. 1999

[12] DKV-Arbeitsblätter für die Wärme- und Kältetechnik, Kältemaschinenregeln, Ordner 3, C.F. Müller Verlag Heidelberg, August 2005

[13] Recknagel, Sprenger, Schramek: Taschenbuch für Heizung und Klimatechnik, Oldenbourg Verlag, Ausgabe 07/08

[14] Cube, Steimle, et al.: Lehrbuch der Kältetechnik, C.F. Müller Verlag, Band 1, 4. A., 1997

[15] EN 14511-1: Luftkonditionierer, Flüssigkeitskühlsätze und Wärmepumpen mit elektrisch angetriebenen Verdichter für die Raumbeheizung und Kühlung, Teil 1: Begriffe, Beuth-Verlag, 2008

[16] VDI-Richtlinie 4650-Blatt 1: Berechnung von Wärmepumpen-Kurzverfahren zur Berechnung der Jahresaufwandszahlen von Wärmepumpenanlagen, Januar 2003

[17] DIN EN 15450: Heizungsanlagen in Gebäuden Planung von Heizungsanlagen mit Wärmepumpen, Beuth-Verlag, Dez. 2007

[18] DIN EN 12900: Kältemittel-Verdichter Nennbedingungen, Toleranzen und Dar­stellung von Leistungsdaten des Herstellers, 2005

Prof. Dr.-Ing. Martin Becker,

Hochschule Biberach, Fakultät Architektur und Gebäudeklimatik, Fachgebiet MSR-Technik und Gebäudeautomation, Biberach

Martin Becker, Biberach

Jetzt weiterlesen und profitieren.

+ KK E-Paper-Ausgabe – jeden Monat neu
+ Kostenfreien Zugang zu unserem Online-Archiv
+ Fokus KK: Sonderhefte (PDF)
+ Webinare und Veranstaltungen mit Rabatten
uvm.

Premium Mitgliedschaft

2 Monate kostenlos testen