Springe auf Hauptinhalt Springe auf Hauptmenü Springe auf SiteSearch
Luft als Kältemittel

Luftreinhaltung

Bisher galten für organische Stoffe (5.2.5) Ausnahmen beim Betrieb von Altanlagen mit Massenströmen bis zu 1,5 t/a. Durch die Überarbeitung der TA-Luft müssen diese Anlagen nun ebenfalls die regulären Grenzwerte einhalten. Des Weiteren wird nun Methanol in der Stoffklasse 1 nach Anhang 3 aufgeführt, wodurch nur noch eine Massenkonzentration von 20 mg/m³oder ein Massenstrom von 0,1 kg/h zulässig ist, statt der bisherigen Werte von
50 mg/m³ und 0,5 kg/h.

Zur Schadstoffreduktion in Abgasen existieren unterschiedliche Ansätze. Einerseits können Schadstoffe an ein Absorptionsmittel wie beispielsweise Wasser, chemische Substanzen (Chemiesorption) oder Öle gebunden werden. Alternativ können diese auch an Feststoffe wie z.B. Aktivkohle adsorbiert werden. Ein Nachteil der Absorption und Adsorption ist, das anfallende Abwasser bzw. Deponierprobleme, wenn eine Regeneration (Desorption) nicht möglich ist. Darüber hinaus können Schadstoffe auch mittels thermischer Nachverbrennung aus dem Abgasstrom entfernt werden, wodurch diese ideal zu Kohlenstoffdioxid und Wasser umgewandelt werden. Der Verbrennungsvorgang erzeugt jedoch weitere Schadstoffe, welche ggf. aufbereitet werden müssen. Weitere Verfahren sind katalytische- oder biologische Verfahren der Abgasaufbereitung, sowie die Aufbereitung durch Kondensation der Schadstoffe unter Verwendung von Tiefsttemperaturen.

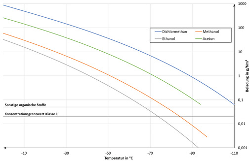
Das Abscheiden von Schadstoffen aus dem Abgasstrom durch Tiefsttemperaturen ist weit verbreitet und erfordert je nach Partialdruck der Abgase unterschiedliche Temperaturen, welche über ein geeignetes Kälteaggregat bereitgestellt werden müssen (Bild 1). Häufig werden hierzu Kaskaden- oder Flüssigstickstoffsysteme eingesetzt, um diese erforderlichen Tiefsttemperaturen erreichen zu können. Allerdings sind die in den Kaskaden verwendeten Kältemittel entweder brennbare oder fluorierte Stoffe, mit hohem Treibhauspotential und einer geringen Verfügbarkeit. Darüber hinaus können bei der Verwendung von Kaskadensystemen Lastwechsel schwer dynamisch gestaltet werden und Teillastbetriebe sind in der Regel sehr ineffizient.

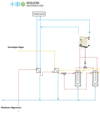
Systeme, welche auf dem Einsatz von Flüssigstickstoff beruhen, sind bei den erforderlichen Temperaturen aufgrund des hohen Herstellungsaufwands bei -196 °C ebenfalls nicht effizient. Darüber hinaus können hohe Temperaturdifferenzen in Wärmetauschern auftreten, welche zu einem ungewollten Kondensationsverhalten der Abgasströme führen (große Ausfrierzonen von Feststoff- und Nebelbildung). Zusammen mit der Refolution Industriekälte GmbH hat die Firma Hof Sonderanlagenbau GmbH die Kaltluftmaschinen von Mirai Intex s.r.o. zur Lösungsmittelrückverflüssigung in der pharmazeutischen Industrie eingesetzt.

Dort werden mit der CryoProphase genannten Anlage mehrere Abgasstränge über einen Silikonölkreislauf versorgt und die Schadstoffe innerhalb von Rohrbündelwärmetauschern abgeschieden. Der tiefkalte Abgasstrom wird anschließend über einen inneren Wärmetauscher zur Energierückgewinnung verwendet, wodurch im zugeführten Abgasstrom bereits ein Großteil der Schadstoffe auskondensiert und die erforderliche Kälteleistung reduziert wird.

Durch das in den Gesamtablauf integrierte Verfahren können die Grenzwerte der TA-Luft eingehalten und ein Großteil der Abgase recycelt und dem Ursprungsprozess wieder zugeführt werden. Die erforderlichen Temperaturen können über die Kaltluftmaschine zwischen -40 bis -110 °C eingestellt und dementsprechend die optimale Verflüssigungstemperatur für unterschiedliche Prozessbedingungen und verschiedene Schadstoffe individuell gewählt werden. Die Aufstellung der Kaltluftmaschinen erforderte keine gesonderten Maßnahmen, da Betriebsdrücke von 4 bis 10 barrel nicht überschritten und keine brennbaren oder toxischen Kältemittel verwendet werden. Regelmäßige Dichtheitsprüfungen sind durch die Verwendung von Luft als Kältemittel nicht notwendig.■

Fabian Plaum
M.Eng. Sales Management Hof Sonderanlagenbau

Fabian Plaum