Springe auf Hauptinhalt Springe auf Hauptmenü Springe auf SiteSearch

Das sollten Sie wissen

GGVSEBZ, BGR 744, Wärmeträgerflüssigkeiten

April, April!

In der April-Ausgabe der KK berichteten wir über energiesparende Wärmeträgerflüssigkeiten, über die Anwendung der Gefahrgutverordnung Straße für Zweiräder und über eine neue berufsgenossenschaftliche Regel für den Einsatz von CO 2 als Kältemittel. Jedoch sollte man in der April-Ausgabe bei den Beiträgen aus der Rubrik Fragen aus der Praxis besonders misstrauisch sein. Wir haben uns auch in diesem Jahr wieder erlaubt, ein wenig zu flunkern.

Die suprafluide Flüssigkeit als Wärmeträger ist natürlich zu schön, um wahr zu sein! Die Notwendigkeit, spezielle Regelungen für Zweiräder in die Gefahrgutverordnung Straße (GGVSEBZ) aufzunehmen, hat der Gesetzgeber bisher nicht erkannt, und auch die Vorschrift, in Räumen, in denen erhöhte CO 2 -Konzentrationen auftreten könnten, Grünpflanzen aufzustellen, ist natürlich frei erfunden!

Leistungsverluste in Sekundärkreisläufen

Grundlagenwissen

In der März-Ausgabe der KK wurde die Frage behandelt, warum es bei Anlagen mit Sekundärkreisläufen zu Leistungsverlusten kommen kann. Die Ursache ist häufig in der sogenannten Kavitation zu suchen. Damit die strömungsphysikalischen Ursachen der Kavitation erkennbar sind, hier ein kleiner Exkurs in die Thermodynamik und die Strömungslehre.

Zunächst ist eine Begriffsbestimmung der Drosselung notwendig. Es handelt sich dabei um einen irreversiblen Strömungsprozess, bei dem allein durch hydraulische Reibung die Exergie des Stoffstromes vermindert wird und dadurch der Druck sinkt.

Drosseln kommt gewollt in Druckminder- und Expansionsventilen vor, ungewollt bei Strömungswiderständen in Rohren, Absperrarmaturen und Ähnlichem.

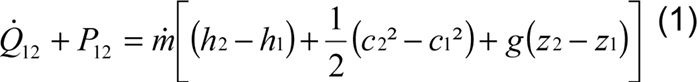
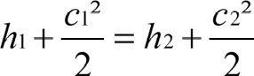
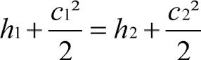
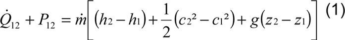
Aus dem 1. Hauptsatz der Thermodynamik gilt für stationäre Fließprozesse, die irreversibel bzw. reversibel sind sowie nicht statisch bzw. quasistatisch ablaufen können:


mit P 12 = · Wt 12

oder zusammengefasst in der differenziellen Schreibweise: d q + d w t = d h + c · d c + g · d z

Weiterhin wird vorausgesetzt, dass ein Stoffstrom die Bilanzhülle schneidet.

Zur Veranschaulichung wird auf Bild 1 Bezug genommen. Für die dargestellte Strömungssituation kann der 1. Hauptsatz wie folgt vereinfacht und angewendet werden:

Mit der Voraussetzung: q 12 = 0:


werden die Querschnitte so bemessen, dass: c 1 c 2

Dann kann eingeschätzt werden, dass: h 1 = h 2

Demzufolge finden die Drosselungsprozesse bei konstanter Enthalpie statt. Allerdings muss für die isoenthalpe Zustandsänderung vorausgesetzt werden, dass der Einfluss der Geschwindigkeitsenergie bei den hier untersuchten technischen Prozessen vergleichsweise sehr gering ist.

Weiterhin ist festzustellen, dass beim Drosseln stets die Entropie zunimmt. Es ist ein typischer nicht umkehrbarer Prozess. Die Drosselung verläuft immer vom höheren zum niederen Druck.

Der Zustandsverlauf der Drosselung folgt in den Dampfdiagrammen einer Linie h = konst. Imh, s-Diagramm erscheint er waagerecht (Bild 2), im log p, h-Diagramm senkrecht.

Man erkennt:

  • a) aus gesättigter Flüssigkeit entsteht Wasser-Dampf-Gemisch,
  • b) Nassdampf wird trockener,
  • c) Sattdampf wird zu Heißdampf,
  • d) Heißdampf ergibt (bezogen auf tS) höher überhitzten Heißdampf.

In jedem Fall sinkt dabei die Temperatur.

Fasst man nun (1) und deren Terme in eine qualitative Bewertung der unterschiedlichen Arten der Kategorie Druck zusammen, dann können die statischen und dynamischen Druckanteile zum Gesamtdruck einer Anlage oder eines hydraulischen Systems zusammengefasst werden.

p ges = p stat + p dyn

Dabei stehen der statische Druck für die potenzielle Energieform und der dynamische Druck für den kinetischen bzw. durch die Bewegungsenergie entstandenen Druckanteil der Bilanzgleichung.

Am Beginn der Energieumwandlung und demzufolge nach dem Druckerhöhungsprozess in der Pumpe oder allgemein der Strömungsmaschine ist zu einem überwiegenden Teil statischer Druck als Kolbendruck auf die Bilanz- oder besser Rohrwand messbar. Erst beim Vorhandensein einer Geschwindigkeit des Mediums wird das Druckpotenzial in Bewegungsenergie umgesetzt.

Bilanziert man nun die Änderung der Druckanteile im Verlauf eines Strömungsprozesses, wird der statische Druckanteil immer weiter abnehmen und sukzessive in den dynamischen Druck umgesetzt.

Weiterhin handelt es sich bei den hier diskutierten Strömungsprozessen vorwiegend um reibungsbehaftete Transportprozesse. Zur Überwindung der Rohrreibung ist wiederum Energie notwendig, die letztlich von der Strömungsmaschine bereitgestellt werden muss.

Zusammenfassend ist demnach zu beachten, dass der vor dem Laufradeintritt noch zur Verfügung stehende statische Druck um einen Sicherheitsfaktor größer sein muss als der temperaturabhängige Wasserdampfteildruck des Mediums.

Online-Archiv

Im Internet sind unter https://www.diekaelte.de/ alle Themen der letzten Jahre gesammelt.

Die Technologie-Transfer-Stelle wird gefördert mit Mitteln vom Bundesministerium für Wirtschaft und Technologie sowie vom Europäischen Fonds für regionale Entwicklung (EFRE).

Jetzt weiterlesen und profitieren.

+ KK E-Paper-Ausgabe – jeden Monat neu
+ Kostenfreien Zugang zu unserem Online-Archiv
+ Fokus KK: Sonderhefte (PDF)
+ Webinare und Veranstaltungen mit Rabatten
uvm.

Premium Mitgliedschaft

2 Monate kostenlos testen