Springe auf Hauptinhalt Springe auf Hauptmenü Springe auf SiteSearch
Absolute Feuchte bei Raumklimaparameter-Regelung wenig beachtet

Besseres Klima im Museum

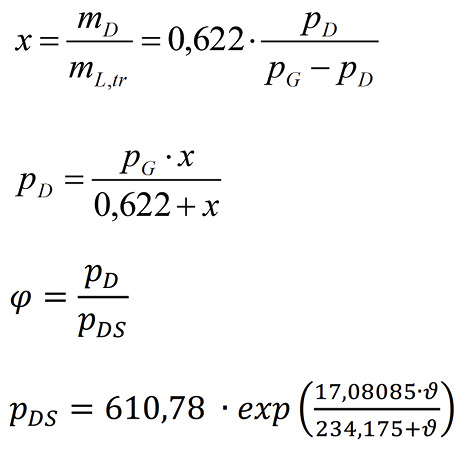
Denn weitere Größen zur Beschreibung eines Zustandspunktes der „Feuchten Luft“ sind die absolute Feuchte (Feuchtegehalt x) und der Teildruck des Wasserdampfes (Partialdruck pD) bei einem vorgegebenen barometrischen oder Gesamtdruck pG, siehe auch [1]. Dabei ist die relative Feuchte φ das Verhältnis des Wasserdampfpartialdrucks zum Sättigungsdruck des Wasserdampfes bei gleicher Temperatur.

(Magnus-Formel)

(Magnus-Formel)

Mit diesen bekannten thermodynamischen Zusammenhängen wird der Luftzustand exakt beschrieben.

Es ergeben sich die Fragen, warum für die Regelung des Luftzustandes einerseits nicht die absolute Feuchte als Regelgröße in Ansatz gebracht wird und zum anderen nicht der Wasserdampfpartialdruck der Luft. Dieser wird als Bezugsgröße für die Bewertung des Feuchtetransports verwendet, da es bei unterschiedlichen Potentialunterschieden (Druck, Temperatur) zwischen zwei Zuständen immer das natürliche Bestreben gibt, diesen zu kompensieren bzw. einen Gleichgewichtszustand zu erreichen

Welche Anforderungen stellt die Museumsklimatisierung?

Hauptaufgabe der Museumsklimatisierung ist es, die natürliche Alterung der Ausstellungsobjekte zu verzögern und konservatorische Eingriffe infolge unzulässiger Aufbewahrungsbedingungen zu vermeiden. Hinzu kommen aber auch Anforderungen aus der Gebäudesubstanz (bauphysikalische Randbedingungen bei der Sanierung historischer Gebäude) und solche, die für das Wohlbefinden der Museumsbesucher und -mitarbeiter bei der Festlegung der einzuhaltenden Klimaparameter zu berücksichtigen sind. Für Depots und Restaurierungswerkstätten sind die gleichen Überlegungen anzustellen.

Diese Anforderungen stehen nicht immer im Einklang miteinander. Erschwerend kommt noch hinzu, dass die im Museum ausgestellten Kunstobjekte oft nicht nur einer Materialgruppe zuzuordnen sind. Auch sind oft Exponate vorzufinden, die aus einem Verbund unterschiedlicher Werkstoffe bestehen. Jeder Werkstoff reagiert anders auf das Raumklima.

Konservatorisches Ziel bei der Bewahrung von Sammlungsgut ist die Minimierung von Stofftransporten in und aus dem Objekt. Dies ist bezüglich des Wasserdampfs bei organischen und hygroskopischen Objekten, insbesondere Holz, Textilien und Papier, nur unter strenger Beachtung der Luftfeuchtigkeit in der Umgebungsluft zu gewährleisten, um ein Austrocknen oder Quellen der Objekte zu vermeiden sowie mikrobiologische Prozesse zu reduzieren.

Dabei muss es das Ziel sein, den Stofftransport des Wasserdampfs sowohl aus der Luft in das Objekt als auch aus dem Objekt in die Luft zu minimieren, wenn sich zuvor ein gewünschtes Verhältnis eingestellt hat. Voraussetzung dafür ist die Ausgeglichenheit des Wasserdampf-Partialdruckes an der Grenzschicht zwischen dem festen Körper (Objekt) und dem Gas (Luft).

Der Wasserdampfpartialdruck der feuchten Luft ist gekoppelt mit dem Wert des Wassergehaltes in der Luft, der absoluten Luftfeuchtigkeit x. Laut dem h-x-Diagramm nach Mollier verändert sich bei Schwankungen bzw. Änderungen der Temperatur und gleichem Wassergehalt der Luft (konstante absolute Feuchte) auch die relative Luftfeuchtigkeit ϕ und umgekehrt. Das heißt für die Museumsanwendung, dass die bisher sehr enge Regelung der relativen Luftfeuchtigkeit durch Be- und Entfeuchtung bei eventuellen Temperaturänderung dazu führt, dass sich der absolute Feuchtegehalt der Luft verändert und damit infolge des Wasserdampfpartialdruckgefälles ein Stofftransport zwischen Luft und Objekt angestoßen wird.

Eventuelle kurzfristige Schwankungen der Raumtemperatur im Tagesgang (z. B. durch äußere Lasten wie Sonneneinstrahlung oder innere Lasten wie große Besucherzahlen oder Wärmeeintrag durch Beleuchtung) sollten also nicht mit ausschließlichem Blick auf die relative Luftfeuchtigkeit mit der Veränderung des Wassergehaltes in der Luft (Be- oder Entfeuchtung) kompensiert werden. Es muss vielmehr betrachtet werden, ob und wie das Wasserdampfpartialdruckgefälle klein gehalten werden kann. Nur unter Minimierung des Wasserdampfpartialdruckgefälles zwischen Luft und Objekt kann der Stofftransport bei organischen und hygroskopischen Materialien auf ein Minimum beschränkt werden.

Kompromisse sind notwendig

Letztendlich wird das festzulegende Raumklima immer ein Kompromiss aus den genannten Anforderungen sein. Demzufolge kann es auch keine Standardwerte für die Raumklimaanforderungen für Museen geben. Die einzuhaltenden Raumklimawerte sollten deshalb für jeden Einzelfall nur in enger Abstimmung zwischen Museumsfachleuten, Bauherren, Architekten und den Planern der Technischen Gebäudeausrüstung festgelegt werden. Verallgemeinerungen sind für bestimmte Einzelfälle sicherlich möglich (z. B. für Gemäldegalerien), bedürfen aber ebenfalls einer gemeinschaftlichen Bewertung.

Im Allgemeinen wird in der Literatur der Konstanz der relativen Feuchte eine höhere Priorität zugeordnet als der Raumtemperatur. Neuere Veröffentlichungen weisen auf die Möglichkeit der Vergrößerung des zulässigen Toleranzbandes bei der relativen Feuchtigkeit hin, was aber teilweise von Restauratoren kritisch gesehen wird.

In Auswertung der Literaturquellen lässt sich feststellen, dass die Angaben zu den anzustrebenden relativen Luftfeuchten in den letzten 100 Jahren tendenziell gesunken sind, aber die anzustrebenden Raumtemperaturen gestiegen sind. Das Ansteigen der zulässigen Raumtemperatur ist auch darauf zurückzuführen, dass bei früheren Literaturangaben vermutlich der Sommerfall überhaupt nicht berücksichtigt wurde und mit zunehmender Technisierung in den Museen auch auf Komfortansprüche der Besucher und Mitarbeitern reagiert wurde [2], [3].

Spielräume bei den Raumklimawerten

Für die technische Auslegung von Klimaanlagen ist eine höhere zulässige sommerliche Raumtemperatur ein entscheidendes Mittel, um die Anlagengröße zu minimieren. Grenzen werden hier aber durch Sicherstellung eines Mindestvolumenstroms zur Erzielung der gleichmäßigen Temperatur- und Feuchteverteilung im Raum gesetzt. Da sprunghafte Temperatur- und Feuchtewechsel nicht gewollt sind, ist in Museen das saisonale Gleiten von Temperatur und Feuchte weit verbreitet.

In der Praxis wird man dazu eine Regelung konzipieren, welche zusätzlich eine besonders wirtschaftliche Fahrweise ermöglicht, z. B. eine „dynamische“ Kaskadenregelung für Temperatur- und Feuchteregelkreis. Als Messgrößen werden hierzu grundsätzlich Temperatur und relative Feuchte herangezogen, als Führungsgrößen werden jedoch Temperatur und absolute Feuchte (Berechnung aus Temperatur und relativer Feuchte r.F.) verwendet. Hierdurch lässt sich ein bedeutend besseres dynamisches Verhalten des Reglers realisieren.

Die Kaskadenregelung benötigt ferner zur ordnungsgemäßen Funktion drei wichtige Informationen, nämlich die Grenzen des Sollwertes (z. B. Behaglichkeitsfeld oder ein anderes Feld zur im Museum zulässigen Raumluftparameter im h,x-Diagramm), die Luftkonditionen für den Raumregler (berechnet aus raumseitiger Regeldifferenz den Zuluft-Sollwert) und die Konditionen für den Zuluftregler (berechnet aus zuluftseitiger Regeldifferenz).

Aus dem vorkonditionierten Luftzustand und dem Zuluft-Sollwert ergibt sich so ein bestimmter Bedarf für die Klimatisierungsaufgaben Heizen, Kühlen, Befeuchten, Entfeuchten oder eine Kombination daraus. Das Feld für die zulässigen Raumluftparameter wird sich bei einer Anwendung in einem Museum erheblich vom bekannten „Behaglichkeitsfeld“ im h,x-Diagramm unterscheiden, denn es wird relativ klein und schmal sein, weil es ja die konservatorischen Vorgaben abbilden muss. Dafür sollte der Begriff „Klimakorridor“ verwendet werden.

Mögliche praktische Umsetzung

Um für eine physikalisch korrekte Auslegung und Regelung von Trocknungs- oder Befeuchtungsvorgängen und in Folge davon eine präzise Regelung einer Klimaanlage den Luftzustand eindeutig zu bestimmen, muss die absolute Luftfeuchte in g/kg als Auslegungs- und Berechnungsgrundlage herangezogen werden. Unabhängig davon kann aber auch eine besonders ökonomische Fahrweise einer Klimaanlage erreicht werden. Dies gelingt dann, wenn man z.B. bei Präzisionsklimalösungen anstelle des Wertes % r.F. mit der absoluten Feuchte x in g/kg trockener Luft oder aber mit der zugehörigen Taupunkttemperatur in °C arbeitet. Die praktische Umsetzung einer solchen Regelstrategie (saisonales Gleiten) für die Klimaanlage ist beispielhaft in der Tabelle 1 und in der Abbildung 1 im h,x- Diagramm dargestellt.

Eine Raumtemperatur von 20 °C, 50 % r.F. bei einer Beleuchtungsstärke von 100 lx und möglichst alles konstant, höchstens aber eine Abweichung von +/- 2 K und +/- 5 % r.F. oder weniger pro Stunde, sind schon immer der Traum aller Restauratoren, wenn es um die optimale Lagerung und Präsentation von Kunstgut geht. Real betrachtet sind diese idealen Bedingungen aber auch mit Vollklimaanlagen nicht wirklich immer einzuhalten, wenn diese mit Blick auf einen effizienten Energieeinsatz nicht überdimensioniert sein sollen (siehe auch Abbildung 2).

Eine Sollwertänderung im Raum ist somit nicht mehr von den aktuellen Witterungsbedingungen abhängig, sondern wird entsprechend der Tabelle 1 jahreszeitlich als automatisches Sollwertprogramm fest vorgegeben und mit einem Klimakorridor von 20… 25 °C und 45… 55 % r.F begrenzt. Die Änderung des Sollwerts findet nur einmal im Monat statt, die eingestellten Werte sind für diesen dann konstant.

Der Nachteil dieses Programms ist der etwas höhere Energiebedarf für die Klimatisierung der Ausstellungsräume von Exponaten, die in der Regel aus gemischten Materialien bestehen. Jedoch steht dem die höhere Regelgenauigkeit der Klimaanlagen mit dynamischen Regelkreisen wie eingangs beschrieben gegenüber. Da die RLT-Anlage jedoch nach wie vor auf die aktuellen Witterungsbedingungen reagieren muss, sind geringe Tagesschwankungen der Istwerte nicht auszuschließen, allerdings betragen die Tagesschwankungen in der Regel nicht mehr als 3 K bzw. nicht mehr als 3 % r.F. Eventuell auftretende Extremfälle können durch die Begrenzung auf einen Klimakorridors bei richtiger Anlagenauslegung und korrekter Reglereinstellung ausgeschlossen werden.

Abbildung 1: Darstellung des Toleranzbereiches nach Tabelle 1.

Bild: Rogge / Trogisch

Abbildung 1: Darstellung des Toleranzbereiches nach Tabelle 1.
Abbildung 2: Darstellung des Toleranzbereiches bei der Forderung nach einem „Konstant-Klima“.

Bild: Rogge / Trogisch

Abbildung 2: Darstellung des Toleranzbereiches bei der Forderung nach einem „Konstant-Klima“.
Dipl.-Ing.Ralph Rogge,
Institut für Luft- und ­Kältetechnik gGmbH ­Dresden, Bereich Luft- und Klimatechnik.

Bild: Rogge

Prof. (em.) Dr.-Ing. Achim Trogisch,
HTW Dresden, ­Fakultät Maschinenbau, ­Lehrgebiet TGA.

Bild: Trogisch

Jetzt weiterlesen und profitieren.

+ KK E-Paper-Ausgabe – jeden Monat neu
+ Kostenfreien Zugang zu unserem Online-Archiv
+ Fokus KK: Sonderhefte (PDF)
+ Webinare und Veranstaltungen mit Rabatten
uvm.

Premium Mitgliedschaft

2 Monate kostenlos testen