Springe auf Hauptinhalt Springe auf Hauptmenü Springe auf SiteSearch
Transkritisches System mit Wärmerückgewinnung

Luftgekühlter CO2-Gaskühler

Es erfüllt nahezu alle erforderlichen Eigenschaften, um als Kältemittel eingesetzt zu werden. Es hat kein Ozonabbaupotenzial (ODP), vernachlässigbares Treibhauspotenzial, hervorragende Verfügbarkeit, hohen Wärmeübergangskoeffizienten und ist kompatibel mit Materialien, die in Kälteanlagen Verwendung finden.

Dieser steigende Bedarf des Kältemittels CO2 in den verschiedenen Kälteanwendungen erfordert Aufmerksamkeit bei der Entwicklung und Herstellung von Wärmetauschern. Dies betrifft die Berücksichtigung der Systemdrücke in transkritischen Anwendungen und die speziellen Anforderungen in der Fabrikation. Darüber hinaus hat die wachsende Zahl von CO2-Kälteanlagen aufgrund ihrer hohen Betriebsdrücke eine hervorragende Möglichkeit zur Wärmerückgewinnung geschaffen, insbesondere wenn sie im transkritischen Modus betrieben werden. Die Anzahl der transkritischen CO2-Anlagen im Jahr 2020 in den verschiedenen Weltregionen ist unten dargestellt (Bild 1).

CO2 kann bei Temperaturen über 31 °C nicht kondensieren. Da CO2 keinen Phasenwechsel erfährt, sinkt die Temperatur kontinuierlich, während CO2 durch den Gaskühler geleitet wird. Der Gaskühler ist die Komponente in einem transkritischen System, die sich am beträchtlichsten von einer konventionellen Kälteanlage unterscheidet. In konventionellen Kälteanlagen übernimmt der Verflüssiger diese Aufgabe.

Bei luftgekühlten Gaskühlern ist besonders auf die Temperaturgrenze, um den kritischen Punkt herum zu achten. Der Betriebspunkt bei sommerlichen Temperaturen liegt deutlich im transkritischen Bereich mit Gasaustrittstemperaturen des Gaskühlers oberhalb der kritischen Temperatur von 31 °C. Im Jahresverlauf liegen die Umgebungstemperaturen jedoch in einem Bereich, der einen unterkritischen Betrieb über lange Zeiträume zulässt. Dies erweist sich als günstig für die Effektivität und für das Druckniveau. Diese zwei unterschiedlichen Betriebszustände müssen bei der thermodynamischen Auslegung berücksichtigt werden.

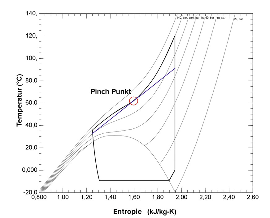
Die Wärmeabgabe bei kondensierenden Kältemitteln erfolgt bei konstanter Temperatur. Das Kühlmedium hingegen ändert seine Temperatur empfindlich (die Temperatur steigt). Dadurch ist am Austritt des Kühlmediums mit der geringsten Temperaturdifferenz zwischen Kältemittel und Kühlmedium zu rechnen. Beim transkritischen CO2 tritt die kleinste Temperaturdifferenz je nach Druck- und Temperaturkonfiguration nicht am Austritt des Kühlmediums auf, sondern häufig in der Mitte des Gaskühlers. Für eine optimale Nutzung des Gaskühlers ist es wichtiwg, ihn als Wärmetauscher im Gegenstromprinzip zu betreiben.

Bild 1: Anzahl der transkritischen CO2-Anlagen weltweit im Jahr 2020 [1]

Bild: Kelvion

Bild 1: Anzahl der transkritischen CO2-Anlagen weltweit im Jahr 2020 [1]
Bild 2: Besonderheit des Pinch-Punktes im CO2-Gaskühler [2]

Bild: Kelvion

Bild 2: Besonderheit des Pinch-Punktes im CO2-Gaskühler [2]

Spezielle Maßnahmen an der Konstruktion

Bei der Auslegung eines Gaskühlers soll auf genügend Temperaturdifferenz zwischen Luft und Kältemittelgas geachtet werden. Hier treten im ungünstigsten Fall in bestimmten Bereichen des Wärmeübertragers Zonen auf, bei der keine oder sehr kleine Temperaturdifferenzen herrschen. Dieses Phänomen ist als Pinch Point bekannt (Bild 2).

Da die Temperatur des Kältemittels in einem Gaskühler nicht konstant ist, kann der Druck der Hochdruckseite zur Maximierung des COP (Coefficient Of Performance) genutzt werden. Der Druck kann so abhängig von der Temperatur am CO2-Austritt des Gaskühlers geregelt werden. Die Regelung des Betriebsdrucks und die Umschaltung zwischen subkritisch und überkritisch erfolgt über ein elektronisches Ventil mit einem auf maximale Effizienz ausgelegten Regelalgorithmus. Mit einem Betriebsdruck typischerweise von 120 bar, Eintrittstemperaturen von 120 °C und Austrittstemperaturen von ca. 35 °C benötigt die Gaskühlerkonstruktion spezielle Maßnahmen (Bild 3).

Kelvion hat verschiedene Serien von Gaskühlern entwickelt, die für einen Gasdruck bis 120 bar und konstruktiv auf hohe Temperaturen und Drücke ausgelegt sind. Verbesserte thermische Leistung des Arbeitsfluids bedeutet, dass geringere Durchflussmengen und eine reduzierte Kältemittelfüllung möglich sind. Extensive CFD Analysen wurden durchgeführt, um die Gaskühlergeometrie zu optimieren (Bild 4). Die mit AC- oder EC-Motoren ausgestatteten Gaskühler haben einen Wärmetauscher mit einem Rohrdurchmesser ab 5 mm. Die geringen Abstände und die kleinen Kanaldurchmesser ergeben einen Wärmetauscher mit sehr hohem Lamellenwirkungsgrad und sehr geringem Innenvolumen. Darüber hinaus führt die nicht spiegelsymmetrische Anordnung der Rohre unter anderem zu einer um 18% höheren externen Wärmeübertragung.

Die Gaskühler sind in verschiedenen Bündelkonfigurationen und mit Ventilatordurchmessern von 630 bis 990 mm erhältlich. Zusätzlich, bietet Kelvion fünf verschiedene Arten von Gaskühlern mit einem breiten Leistungsbereich von 3 bis 2600 kW an. Die Gaskühlermodule sind in Längen von bis zu 2,1 m erhältlich, wobei Modulbreiten bis zu 2,18 m erhältlich ist. Da aufgrund der hohen Gaseintrittstemperaturen hohe Temperaturspannungen zu befürchten sind, wurden die Lamellen segmentiert, wodurch die mechanische Belastung des Wärmetauschers reduziert und gleichzeitig die Wärmeleistung erhöht wird.

Bild 3: Druck-Enthalpie-Diagramm bei Betrieb über dem kritischen Punkt [2]

Bild: Kelvion

Bild 3: Druck-Enthalpie-Diagramm bei Betrieb über dem kritischen Punkt [2]
Bild 4: Zur Optimierung des Gaskühlers werden umfangreiche CFD-Analysen ­durchgeführt

Bild: Kelvion

Bild 4: Zur Optimierung des Gaskühlers werden umfangreiche CFD-Analysen ­durchgeführt

Effektiv Wärme zurückgewinnen

Darüber hinaus haben Wärmepumpen in den letzten Monaten große Marktpräsenz gewonnen, und auf dieser Grundlage konzentrierte man sich in ganz Europa zunehmend auf die Entwicklung der Wärmepumpentechnologie. Dieser zunehmende Fokus auf die Entwicklung von Wärmepumpen macht es aus Sicht von Kelvion viel interessanter, die Möglichkeiten von CO₂ auszuschöpfen. Das Kältemittel CO₂ zeigt sehr gute Möglichkeiten, die Wärme aus den Anlagen zurückzugewinnen. Die Technologie der Wärmepumpen, die in transkritischen Systemen verwendet wird, ist relativ neu, entwickelt sich jedoch schnell und ist jetzt so ausgereift, dass sie nun die wahren Möglichkeiten für die Nutzung der Wärmerückgewinnung aufzeigt.

Im Allgemein besteht eine Wärmepumpe aus einem Verdampfer, einem Kompressor, einem Verflüssiger (oder Gaskühler) und einem Expansionsventil. Das System ermöglicht die Übertragung von Wärme von einem Ort (Wärmequelle) mit einer niedrigeren Temperatur zu einem anderen Ort (Wärmesenke) mit einer höheren Temperatur. Bild 5 zeigt das allgemeine Funktionsprinzip einer Wärmepumpe.

Eigentlich besteht das Hauptziel eines Wärmerückgewinnungssystems darin, die benötigte Wärme bei der erforderlichen Temperatur so effizient wie möglich zurückzugewinnen. Um die höchstmögliche Effizienz der CO2-Wärmepumpe zu erreichen, müssen viele Anstrengungen in die Systemauslegung und Regelungsstrategie gesteckt werden. Folgende Überlegungen sind für einen effizienten Wärmetauscher für Wärmepumpen wichtig:

  • Die Technologie und Effizienz der Wärmetauscher bestimmen maßgeblich den COP-Wert.
  • Die Wärmequelle ist ein wichtiger Faktor bei der Auswahl des Wärmetauschers für den Verdampfer.
  • Die Wärmetauschertechnologie spielt eine entscheidende Rolle für den effizienten Betrieb des Systems.
  • Die Größe der Wärmetauscher und Wärmepumpe wirkt sich auf die Energieabdeckung und den Teillastbetrieb aus.
  • Die Verflüssiger- oder Gaskühlertechnologie beeinflusst die Wärmeübertragung und damit die Effizienz der Anlage.
  • Kelvion hat eine neue Variante von Gaskühlern entwickelt, die mit einem Verdampferabschnitte ausgestattet ist. Das Arbeitsmedium auf der Verdampferseite ist ebenfalls CO2 (gleiches Kältemittel wie Gaskühler). Ein 2D-Modell eines Gaskühlers mit eingebautem Verdampfer ist in Bild 6 dargestellt.

    Bei dieser Variante wird die Gaskühlerseite je nach gewünschter Verdampferleistung eine gewisse Rohrreihenzahl gewählt. Dieser Verdampferabschnitt hat die gleiche Länge und Breite wie der Gaskühler, es gibt dadurch einen Abstand zwischen dem Gaskühler und den Verdampferabschnitten. Die meisten Verdampferabschnitte bestehen jedoch aus 2 oder 3 Rohrreihen. Die Luftmenge der kompletten Einheit wird (sowie Leistungsaufnahme und Schallpegel) angepasst, um den zusätzlichen luftseitigen Druckabfall zu berücksichtigen, und die Gaskühlerleistung dementsprechend anzupassen. 

    Um zu erklären, wie das Auswahlverfahren des Gaskühlers mit eingebautem Verdampfer durchgeführt wird, wird in diesem Artikel ein detailliertes Beispiel vorgestellt. Aus dem Kelvion Select Refrigeration Technology (KSRT) wird der Gaskühler GF-PD202G3H-091R450 ausgewählt. Die Auslegungsparameter werden basierend auf einer Umgebungstemperatur von 38 °C, einer Gaseintrittstemperatur von 110 °C, einem Gaseintrittsdruck von 95 bar und einer Gasaustrittstemperatur von 40 °C eingestellt. Der minimale Druckabfall auf der CO2-Seite wird jedoch bei 50 kPa gewählt, während der maximale Druckabfall 130 kPa beträgt. Basierend auf diesen Auslegungsparametern errechnet sich eine Leistung des Gaskühlers von 186,79 kW. Eine Zusammenfassung der wichtigsten Auslegungsparameter und die daraus resultierenden Wärmetauscherdaten sind in Bild 8 dargestellt.

    Basierend auf den resultierenden Wärmetauscherspezifikationen beträgt der Luftvolumenstrom 51.984 m3/h (14,44 m3/s). Außerdem beträgt die Länge eines Moduls dieses Gaskühlers 2,1 m, also 4,2 m, da der Gaskühler aus zwei Modulen besteht. Unter Beachtung der Breite von 2.184 m, beträgt der Lufteintritts-Querschnitt 9,17 m2. Unter Berücksichtigung des Luftvolumenstroms und des Lufteintritts-Querschnitts errechnet sich eine Lufteintrittsgeschwindigkeit von 1,57 m/s. Diese resultierende Lufteintrittsgeschwindigkeit ist wichtig, um in der Bild 7 verwendet zu werden, um die resultierende Kühlleistung des Verdampfers zu berechnen.

    Bild 9 zeigt zwei Kurven, die zur Auswahl der Verdampfer-Kälteleistung herangezogen werden. Die erste Kurve basiert auf zwei Reihen und ist in blauer Farbe dargestellt. Basierend auf dieser Kurve beträgt die Verdampferleistung 6,34 kW pro m2 Fläche. Unter Berücksichtigung des Lufteintritts-Querschnitts von 9,17 m2 beträgt die Gesamtkälteleistung des Verdampfers 58,1 kW.

    Andererseits kann anhand der anderen Kurve (in der gelben Farbe in BIld 9) ein 3-Reihen-Verdampfer ausgewählt werden. Aus dieser Kurve ergibt sich eine Verdampferleistung von 8,39 kW pro m2 Fläche. Bei gleichem Lufteintritts-Querschnitt (9,17 m2) beträgt die Gesamtkälteleistung des Verdampfers 76,9 kW.

    Zusammenfassend hat dieser Artikel gezeigt, dass weltweit ein steigender Bedarf an transkritischen CO2-Anlagen besteht. Aus diesem Grund hat Kelvion auf Basis umfangreicher CFD-Analysen verschiedene Arten von Gaskühlern entwickelt, um das Design zu optimieren und die Effizienz von Gaskühlern zu verbessern. Darüber hinaus hat Kelvion als Reaktion auf den gestiegenen Bedarf an Wärmepumpen in Europa eine neue Variante des Gaskühlers mit Option zur Wärmerückgewinnung entwickelt. Abschließend wurde ein detailliertes Beispiel zur Auswahl eines Gaskühlers mit eingebautem Verdampfer vorgestellt.

    Osama Aljolani
    Entwicklungsingenieur / Development Engineer

    Bild: GEA

    Jetzt weiterlesen und profitieren.

    + KK E-Paper-Ausgabe – jeden Monat neu
    + Kostenfreien Zugang zu unserem Online-Archiv
    + Fokus KK: Sonderhefte (PDF)
    + Webinare und Veranstaltungen mit Rabatten
    uvm.

    Premium Mitgliedschaft

    2 Monate kostenlos testen