Springe auf Hauptinhalt Springe auf Hauptmenü Springe auf SiteSearch
Was man zu Schallemissionen von Luft- / Wasser-Wärmepumpen wissen sollte

Ruhig bleiben!

Beispiele für Schalldruck und Schalldruckpegel verschiedener Erzeugerquellen.

Bild: BWP

Beispiele für Schalldruck und Schalldruckpegel verschiedener Erzeugerquellen.
Der Schalldruckpegel ist abhängig vom Abstand zur Schallquelle. Verdoppelt sich die Entfernung zu einer Geräuschquelle, sinkt die dort wahrnehmbare Lautstärke um 6 dB(A) gegenüber der einfachen Entfernung.

Bild: Wolf

Der Schalldruckpegel ist abhängig vom Abstand zur Schallquelle. Verdoppelt sich die Entfernung zu einer Geräuschquelle, sinkt die dort wahrnehmbare Lautstärke um 6 dB(A) gegenüber der einfachen Entfernung.

Ein sehr ruhiges Zimmer oder leichter Wind verursachen 30 dB(A), Flüstern oder eine ruhige Wohnstraße nachts 40 dB(A) und Regen oder ein Kühlschrank erzeugen 50 dB(A). Eine Wärmepumpe, die bereits ab 3 m Abstand die Grenze von 35 dB(A) Schalldruckpegel unterschreitet, fällt damit tatsächlich eher optisch auf als durch ihre Akustik.

Trotzdem empfinden manche Menschen sogar eine Lärmbelästigung durch eine nicht angeschlossene, also tatsächlich „stumme“ Wärmepumpe. Gegen Irrtümer der subjektiven Wahrnehmung und Vorurteile dieser Art helfen nur Fakten in Form von exakten Messungen. Dabei werden alle Geräusche, die tatsächlich in verschiedenen Aufstellsituationen von der Außeneinheit einer Wärmepumpe ausgehen können, durch anerkannte Prüfmethoden aufgezeichnet und bewertet.

Was ist Schall?

Luftschall wird vom menschlichen Ohr wahrgenommen, wenn eine Schallquelle die sie umgebende Luft in Schwingungen versetzt. Auf diese Weise wird eine Druckwelle erzeugt, die sich wellenförmig ausbreitet und das Trommelfell des Ohres in Schwingung versetzt – hier beginnt der Prozess des menschlichen Hörens.

Die Ausbreitung von Schallwellen kann durch verschiedene Faktoren sowohl verstärkend als auch abschwächend beeinflusst werden:

  • Massive Hindernisse wie Mauern etc. können den Schall abschirmen.
  • Schallharte Oberflächen wie Mauerwerk, Putz, Glas, Asphalt, Stein können Schall reflektieren.
  • Schallabsorbierende Oberflächen wie Rindenmulch, frischer Schnee mindern den Schall.
  • Insbesondere Wind kann Schall verstärken aber auch abschwächen.
  • Schalldruck

    Die mechanische Überlagerung des Luftdrucks durch den Schall wird als Schalldruck bzw. Schallwechseldruck bezeichnet. Diese Druckdifferenz ist messbar. Da sich der Schallwechseldruck mit der Entfernung zur aussendenden Quelle abschwächt, wird ein Geräusch mit zunehmender Entfernung zur Schallquelle als immer leiser werdend wahrgenommen.

    Je deutlicher sich der Luftdruck durch die Geräuschquelle verändert, als desto lauter wird ein Geräusch empfunden. Die Drucklage der Welle bestimmt die Lautstärke. Leise = wenig Druck, laut = hoher Druck. Die übliche Einheit für den Schalldruck ist Pascal (Pa), jedoch wird er meist als Schalldruckpegel in Dezibel (dB) angegeben. Der Wert 0 dB ist in etwa mit der Hörschwelle des Menschen gleichzusetzen.

    Mit Hilfe des Schallrechners von Wolf können auf Basis der vom Hersteller fachgerecht ermittelten Schallleistungspegel Aufstellbedingungen bewertet werden, und zwar sowohl für den Tag- als auch für den Nachtbetrieb.

    Bild: Wolf

    Mit Hilfe des Schallrechners von Wolf können auf Basis der vom Hersteller fachgerecht ermittelten Schallleistungspegel Aufstellbedingungen bewertet werden, und zwar sowohl für den Tag- als auch für den Nachtbetrieb.

    SchalldruckpegelLP

    Schallmessungen geben nicht die absoluten Druckwerte wieder, sondern eine daraus abgeleitete logarithmische Größe: den Schalldruckpegel LP. Für die „Technische Anleitung zum Schutz gegen Lärm“ (TA Lärm) ist der Schalldruckpegel die maßgebliche messtechnische Größe, welche am Ort der Schalleinstrahlung gemessen wird. Der Schalldruckpegel ist abhängig vom Abstand zur Schallquelle.

    Verdoppelt sich die Entfernung zu einer Geräuschquelle, sinkt die dort wahrnehmbare Lautstärke um 6 dB(A) gegenüber der einfachen Entfernung. Eine Erhöhung des Schalldruckpegels um 3 dB wird dagegen bei einem gleichen Abstand zur Schallquelle erreicht, wenn die erste Schallquelle durch eine zweite (neben der ersten aufgestellten), genauso laute „verdoppelt“ wird.

    A-Filter

    Um die Empfindlichkeit des Ohres auszugleichen, verwenden Akustiker einen sogenannten A-Filter, der Schallsignale entweder verstärkt bzw. in dem Bereich abschwächt, wo das menschliche Ohr empfindlicher bzw. unempfindlicher ist. Der A-Filter schwächt beispielsweise Bässe und Höhen ab. Wird dieser Filter im Messverfahren eingesetzt, werden die Schallwerte in dB(A) angegeben.

    SchallleistungspegelLW

    ((Formeln und Formelzeichen bitte aus dem Originaldokument entnehmen. Danke! RM))

    Die gesamte, durch eine Schallquelle in alle Richtungen ausgesandte Luftdruckänderung, wird als Schallleistung bzw. als Schallleistungspegel bezeichnet. Diese schallquellentypische Größe bezieht sich im Gegensatz zum Schalldruckpegel LP auf den Schall aussendenden Gegenstand: Der Wert der Schallleistung ist immer gleich. Er ist abstands- und richtungsunabhängig und bezieht sich nur auf eine spezifische Schallquelle.

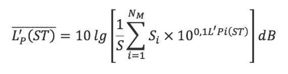
    Der Schallleistungspegel LW wird im Schalllabor aus vielen Einzelmesswerten des Schalldruckpegels errechnet, weil die abgestrahlte gesamte Schallleistung messtechnisch nicht direkt erfasst werden kann. Er wird in drei Stufen berechnet:

    Dabei ist der zeitlich gemittelte Schalldruckpegel aller Messpunkte, während die Schallquelle in Betrieb ist. ist der Anteil an der Messfläche des Schallkörpers und die gesamte Messfläche.

    NM ist die Anzahl der Messpunkte.

    Mit der Formel

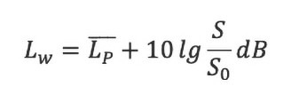
    wird im nächsten Schritt der zeitlich gemittelte Messflächen-Schalldruckpegel errechnet, indem die Störfaktoren von Fremdgeräuschen und die Einflüsse der Messumgebung subtrahiert werden.

    Auf dieser Basis erhält man den Schallleistungspegel mit der Formel

    Dabei ist die gesamte Messfläche und entspricht 1 m².

    Alle Wärmepumpen von Wolf durchlaufen insbesondere vor der Markteinführung aufwändige Schallprüfverfahren, die zunächst in einem werkseigenen Innovationszentrum durchgeführt werden.

    Bild: Wolf

    Alle Wärmepumpen von Wolf durchlaufen insbesondere vor der Markteinführung aufwändige Schallprüfverfahren, die zunächst in einem werkseigenen Innovationszentrum durchgeführt werden.
    Vor der Serieneinführung werden die Schallwerte durch externe Prüflabore, wie zum Beispiel vom TÜV Süd, verifiziert.

    Bild: Wolf

    Vor der Serieneinführung werden die Schallwerte durch externe Prüflabore, wie zum Beispiel vom TÜV Süd, verifiziert.

    Herstellerangaben zum Schall

    Wärmepumpenhersteller geben für ihre Außeneinheiten stets den Schallleistungspegel an. Dieser Wert wird unter Laborbedingungen gemäß EN 12102-1 und der Ökodesign-Richtlinie (EN 14825) ermittelt. Hier ist genau festgelegt, was bei Schallmessungen zwingend zu beachten ist, um belastbare Werte bzw. reproduzierbare und untereinander vergleichbare Ergebnisse gewinnen zu können. Daher können mit Hilfe der Werte des Schallleistungspegels unterschiedliche Schallquellen (bzw. Außengeräte unterschiedlicher Wärmepumpen) miteinander verglichen werden. Er wird auch zur Schallprognose vor Ort genutzt.

    Schalleinwirkung vor Ort

    Das Außengerät einer Wärmepumpe sollte mindestens mit einem 3 m-Abstand zum Nachbarn aufgestellt werden. Allein diese Entfernung ist jedoch noch keine Garantie für niedrige Schallwerte. So wirken sich Aufstellorte in Nischen oder zwischen zwei Mauern, unter Vordächern oder in Ecken ungünstig auf die Schallentwicklung (Schalldruckpegel) aus. Insbesondere an senkrechten Flächen kann der Schall reflektieren und das Gerät wird bei gleichen Betriebsdaten als lauter wahrgenommen, als wenn es im Freifeld steht.

    Mit der Anzahl der senkrechten Flächen (Wände, Mauern etc.) am Aufstellort erhöht sich der Schalldruckpegel gegenüber der freien Aufstellung. Beispielsweise entstehen durch Schallreflexion zusätzlich zu den normalen Betriebsgeräuschen 9 dB(A), wenn die Außeneinheit unter einem Vordach bis zu 5 m Höhe aufgestellt wird. Dauerhafte Vegetation wie Büsche oder Rasen wiederum können den Schalldruckpegel senken.

    Nützliche Schallrechner

    Um vor Ort schnell die Schalleinwirkung einer Wärmepumpe auf die tatsächliche Aufstellumgebung abschätzen zu können, gibt es verschiedene Online-Schallrechner. Auf Basis des „Leitfadens für die Verbesserung des Schutzes gegen Lärm bei stationären Geräten“ von der Bund-/Länder-Arbeitsgemeinschaft Immissionsschutz (LAI) stellt Wolf ein solches digitales Werkzeug unter www.wolf.eu/schall-rechner zur Verfügung. Auch ungünstige Aufstellbedingungen auf Basis der fachgerecht ermittelten Schallleistungspegel können damit bewertet werden, und zwar sowohl für den Tag- als auch für den Nachtbetrieb.

    Ziel des Schallrechners von Wolf ist es, für die Außeneinheit einer Luft-/Wasser-Wärmepumpe den notwendigen Abstand zum Nachbarn bzw. den besten Aufstellort zu finden, indem die Lärmeinwirkung auf maßgebliche Immissionsorte (insbesondere schützenswerte Räume wie z. B. Schlafräume) der angrenzenden Grundstücke berechnet wird.

    Prognoseverfahren der TALärm

    Die Ergebnisse resultieren aus dem überschlägigen Prognoseverfahren der TA Lärm. Diese können zwar im Falle eines Nachbarschaftsstreits kein individuelles Schallgutachten ersetzen, bieten aber eine hohe Sicherheit bei der Planung. Liegt der berechnete Wert bei der betrachteten Betriebszeit (Tag / Nacht) 6 dB unterhalb des jeweiligen gültigen Grenzwertes für ein definiertes Gebiet, ist eine Aufstellung nach TA Lärm problemlos möglich. Ist die Differenz kleiner, sollte nach einem alternativen Standort für das Gerät gesucht oder ein Schallgutachten beauftragt werden.

    Der Verdichter einer Wärmepumpe CHA von Wolf ist durch spezielle Schwingungsdämpfer doppelt vom Gehäuse schallentkoppelt und zusätzlich mit Akustik-Vlies ummantelt.

    Bild: Wolf

    Der Verdichter einer Wärmepumpe CHA von Wolf ist durch spezielle Schwingungsdämpfer doppelt vom Gehäuse schallentkoppelt und zusätzlich mit Akustik-Vlies ummantelt.
    Das Chassis der Wärmepumpe CHA von Wolf besteht aus leichten und robusten EPP-Formteilen. Es bewirkt neben der Fixierung der Funktionsbauteile (z. B. Ventilator und Wärmeübertrager) auch für eine günstige Luftführung.

    Bild: Wolf

    Das Chassis der Wärmepumpe CHA von Wolf besteht aus leichten und robusten EPP-Formteilen. Es bewirkt neben der Fixierung der Funktionsbauteile (z. B. Ventilator und Wärmeübertrager) auch für eine günstige Luftführung.

    Normgerechte Prüfverfahren

    Alle Wärmepumpen von Wolf durchlaufen insbesondere vor der Markteinführung aufwändige Schallprüfverfahren, die zunächst in einem werkseigenen Innovationszentrum durchgeführt werden. Das Schalllabor des Herstellers ist entsprechend der Norm ISO 3744 für Schallleistungsmessungen der Genauigkeitsklasse 2 zertifiziert. Der Schallleistungspegel der Geräte wird entsprechend dieser Norm (ISO 3744) durch das Hüllflächenverfahren mit mindestens neun Mikrofonen bestimmt.

    Vor Serieneinführung werden alle Schallwerte beispielsweise im Prüflabor von TÜV Süd und damit von unabhängiger Seite verifiziert. Dort wird eine alternative Messmethode verwendet, mit der auch Messungen in Klimakammern bei verschiedenen Betriebszuständen und unterschiedlichen Temperaturen möglich sind. Hier wird der Schallleistungspegel nach der Norm DIN EN ISO 9614-2:1996-12 durch aufwändiges und zeitintensives Abtasten von fünf Hüllflächen um die Wärmepumpe mit einer speziellen Schallintensitätssonde bestimmt.

    Schallentkoppelter Verdichter

    Der Ventilator und Verdichter einer Luft-/Wasser- Wärmepumpe sind die Hauptschallquellen im Außenbereich und müssen daher konstruktiv vom Gehäuse entkoppelt werden. So wird verhindert, dass Vibrationen als Körperschall auf das Gehäuse übertragen werden und damit störende Geräusche erzeugen.

    Der Verdichter einer Wärmepumpe CHA von Wolf ist durch spezielle Schwingungsdämpfer doppelt vom Gehäuse schallentkoppelt und zusätzlich mit Akustik-Vlies ummantelt. Das Gehäuse ist innen mit robustem und schallabsorbierendem Dämmschaumstoff ausgekleidet. In der unebenen Oberfläche und der offenporigen Struktur des Dämmmaterials „verfängt” sich der Schall und wird nur zu einem geringen Anteil reflektiert.

    Der Verdichter der WP-Außeneinheit ist doppelt vom Gehäuse schallentkoppelt und mit einem Akustik-Vlies ummantelt.

    Ventilator mit aerodynamisch idealen Geometrien

    Auch der Ventilator einer Wärmepumpenaußeneinheit bietet großes Potenzial, Schallemissionen zu reduzieren. Die wichtigste Maßnahme ist ein ruhig gelagerter Motor und gut ausgewuchtete Ventilatorflügel. Eine weitere Möglichkeit besteht darin, die Ventilatorblätter im geräuschoptimierten Eulenflügeldesign mit gezackten Hinterkanten auszuführen. Das gewellte bionische Profil der Luftleitschaufeln bewirkt dabei, dass große, schallerzeugende Verwirbelungen vermieden werden. Gleichzeitig sind sich diese Ventilatoren durch eine effiziente Betriebsweise gekennzeichnet, die durch geringere Drehzahlen zu reduzierten Schallwerten führt.

    Wegen dieser Ausstattung gehört die Wärmepumpe CHA zu den leisesten und gleichzeitig effizientesten Luft-/Wasser-Wärmepumpen. ■

    Luca Büchel,
    Entwicklungsingenieur Wärmepumpen bei der Wolf GmbH, Mainburg.

    Bild: Wolf / Büchel

    Tim Krawietz,
    Teamleiter Entwicklung Wärmepumpen bei der Wolf GmbH, Mainburg.

    Wolf / Krawietz

    Jetzt weiterlesen und profitieren.

    + KK E-Paper-Ausgabe – jeden Monat neu
    + Kostenfreien Zugang zu unserem Online-Archiv
    + Fokus KK: Sonderhefte (PDF)
    + Webinare und Veranstaltungen mit Rabatten
    uvm.

    Premium Mitgliedschaft

    2 Monate kostenlos testen