Springe auf Hauptinhalt Springe auf Hauptmenü Springe auf SiteSearch
R744 als Komponente für Kältemittel mit niedrigem GWP

Gut gemischt

Alternative Kältemittel mit einem geringeren GWP haben meist thermodynamischeoder sicherheitstechnische Nachteile gegenüber den genannten Fluiden. So wird z. B. Ammoniak (R 717) aufgrund seiner Toxizität und Brennbarkeit für gewöhnlich nicht in öffentlich zugänglichen Bereichen verwendet. Typische brennbare Kältemittel, beispielsweise Ethan (R 170) oder Propan (R 290), werden infolge ihrer geringen Zündtemperaturen und des großen Konzentrationsbereichs, innerhalb dessen sich brennbare Gemische bilden, im Allgemeinen nicht für Anlagen mit großen Kältemittelfüllmengen verwendet. Hochfluorierte Kältemittel wie R 1234yf werden aktuell hinsichtlich ihrer Anwendung in der Kältetechnik diskutiert, sind aber zum einen nicht überall verfügbar, zum Teil als brennbar einzustufen und deutlich kostenintensiver als andere Kältemittel.

R 744-Gemische als Alternative

Kohlenstoffdioxid (R 744) verdampft bei hohen Drucken und besitzt eine geringe kritische Temperatur, weswegen viele R 744-Prozesse transkritisch betrieben werden. Das Kältemittel R 744 ist sicherheitstechnisch weniger problematisch als brennbare Kältemittel und der GWP beträgt 1. Daher wurden an der TU Dresden gezielt Gemische auf Basis von R 744 entwickelt. Durch gezieltes Kombinieren mit anderenKältemitteln lassen sich die negativen Eigenschaften von Kohlendioxid korrigieren, wobei die positiven Eigenschaften zum großen Teil erhalten bleiben.

Das wesentliche Problem bei der Entwicklung von Kältemittelgemischen auf Basis von R 744 besteht darin, dass die genauen thermodynamischen Eigenschaften der Gemische zum einen nicht ausreichend vermessen sind, zum anderen keine genauen Gleichungen existieren, um die Eigenschaften im Vorfeld zu berechnen. Einige Gemische, deren Zustandsgrößen derzeit schon mit hinreichend genauen Gleichungen berechenbar sind und gleichzeitig von technischem Interesse sind, werden nachfolgend dargestellt.

Einsatzgrenzen von Kohlendioxid als Kältemittel

Die Einsatzgrenzen von R 744 werden durch die Tripel- und die kritische Temperatur bestimmt. Unterhalb der Tripelpunkt-Temperatur existiert Kohlendioxid nur in Feststoffform (Trockeneis) oder in Form eines Gases. Für Anwendungen, in denen die Rückkühltemperatur von Kohlendioxid oberhalb der kritischen Temperatur liegt, können sogenannte transkritische Prozesse realisiert werden. Diese sind aber energetisch meist schlechter als vergleichbare Kaltdampfprozesse und können nur durch komplexe Mechanismen wie z. B. eine Expander-Verdichter-Einheit (ECU) [5], [6] verbessert werden. Dennoch wird wegen der Nichtbrennbarkeit, der geringen Kältemittelkosten und seines natürlichen geringen GWP von 1 vermehrt R 744 in Kälteanlagen verwendet. Einige wichtige thermodynamische und sicherheitstechnische Eigenschaften von Kohlendioxid sind in Tabelle 1 dargestellt.

Anhebung der kritischen Temperatur

Die höhere kritische Temperatur eines Gemisches im Vergleich zu reinem R 744 bietet mehrere Vorteile, da in Abhängigkeit der Rückkühltemperatur der Prozess als subkritisch anstatt als transkritisch ausgeführt werden kann. Infolgedessen können Regelung und Komponenten auf die subkritische Betriebsweise ausgelegt werden. Eine Hochdruckregelung kann entfallen. Der Sammler kann dem Kondensator direkt nachgeschaltet werden, da die Rückkühlung durch Kondensation anstatt durch Gaskühlung erfolgt.

Der für gewöhnlich deutlich bessere Wärmeübergang bei der Kondensation im Vergleich zum Wärmeübergang bei transkritischen Fluiden ermöglicht es, die Rückkühler kleiner auszulegen und somit Platz und Kosten zu sparen. Da Kohlendioxid bei moderaten Temperaturen sehr hohe Drucklagen aufweist, kann durch das Beimischen einer anderen Komponente in einigen Fällen auch der Dampfdruck reduziert werden. Dies hat den Vorteil, dass der Hochdruck des Prozesses sinkt und folglich die Komponenten geringeren Drücken ausgesetzt sind, was weiterhin zu einer Kostenreduktion führen kann.

In Abhängigkeit der zweiten Gemischkomponente kann auch die Kondensationstemperatur definiert eingestellt werden, was für Anwendungen in Wärmepumpen von Interesse sein kann. Für viele Gemische gilt, dass mit zunehmendem Massenanteil einer Komponente mit höherer kritischer Temperatur, auch die kritische Temperatur des Gemisches zunimmt. Dies kann durch den Verlauf der sogenannten kritischen Einhüllenden gezeigt werden, welche schematisch für ein Gemisch aus Kohlendioxid und einer anderen Komponente, in einem lg p-T-Diagramm in Bild 1 dargestellt ist. Der steigende Massenanteil an Kohlendioxid ist ebenfalls schematisch mit eingezeichnet.

Mithilfe des Programmes REFPROP [2]wurden für einige ausgewählte Gemische die kritischen Temperaturen und Drücke berechnet und in Tabelle 2 dargestellt. Die angegebenen Temperaturen und GWP-Werte gelten hierbei nur für die jeweils dargestellten Konzentrationen. Die GWP-Werte wurden nach aktuellen Werten nach Hodnebrog [3] berechnet.

Die in Tabelle 2 gezeigten Werte zeigen deutlich, dass eine Erhöhung der kritischen Temperatur möglich ist, bei einer durchschnittlich geringen Erhöhung des GWP im Vergleich zu reinem Kohlendioxid.

Temperaturgleit und Drucklagenkorrektur

Ein wesentliches Problem bei vielen Kältemittelgemischen besteht darin, dass es sich bei diesen um zeotrope (nicht azeotrope) Gemische handelt. Diese Gemische sind dadurch gekennzeichnet, dass es bei einem Phasenwechsel zu einer Temperaturänderung kommt, dem sogenannten Temperaturgleit. Infolge der Temperaturänderung während der Phasenänderung treten zudem örtlich unterschiedliche Konzentrationen der Bestandteile des Gemisches auf. Im Leckagefall können somit unterschiedliche Mengen der Bestandteile des Gemisches aus der Anlage entweichen und die Gemischzusammensetzung im Gesamten wird verändert. Folglich muss in diesem Falle die Anlage vollständig evakuiert und neu befüllt werden.

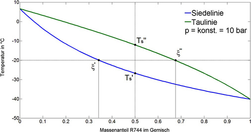
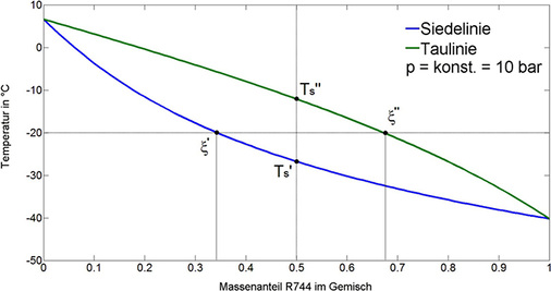
Ein wesentliches Problem von Kohlendioxidgemischen besteht darin, dass sich aufgrund der starken Wechselwirkungen zwischen den unterschiedlichen Molekülen bei verschiedenen Verdampfungsdrücken meist ein hoher Temperaturgleit ausbildet. In Bild 2 ist die Siedelinse für ein binäres Gemisch aus R 744 und R 32 für einen Druck von 10 bar dargestellt. Die Verdampfungstemperatur auf der Siedelinie Ts ist dabei niedriger oder gleich der Verdampfungstemperatur auf der Taulinie Ts. Für einige ausgewählte Gemische sind der Temperaturgleit bei einem Druck von 10 bar, der Siedepunkt-Druck bei einer Verdampfungstemperatur von 0 °C sowie der GWP des Gemisches in Tabelle 3 angegeben.

Bei der Betrachtung der Gemische ist darauf zu achten, dass sich ein erhöhter Temperaturgleit nicht zwingend negativ auf den Prozess auswirkt. Insbesondere bei der Temperierung von Luft kann der Temperaturgleit durch den Einsatz von Kreuzgegenstrom-Wärmeübertragern gezielt genutzt werden, um die exergetischen Verluste des Prozesses zu reduzieren, da die mittlere Temperaturdifferenz zwischen Heiz- und Kühlmedium reduziert werden kann.

Brennbarkeitsgrenzen und Sicherheitsklasse

Für viele technische Anwendungen, bei denen sich Personen oder heiße Oberflächen in unmittelbarer Nähe der Kältemaschine befinden, müssen nicht brennbare Kältemittel eingesetzt werden. Brennbare Kohlenwasserstoffe wie z. B. Propan (R 290) können für viele Anwendungen nicht ohne einen deutlichen Mehraufwand im Bereich der Sicherheitstechnik eingesetzt werden. Die Brennbarkeitsgrenzen, also die Grenzen zu dem temperatur- und druckabhängigen Bereich, innerhalb dessen ein Gasgemisch als brennbar gilt, können durch das gezielte Beimischen von R 744 reduziert werden, bis ein nicht brennbares Gemisch entsteht

Basis hierfür ist, dass mit steigendem Kohlendioxidanteil der Anteil an Sauerstoff im Gemisch abnimmt und keine ungehemmte Verbrennung des brennbaren Bestandteiles stattfinden kann. Die Brennbarkeit wird durch eine obere (UFL) und eine untere (LFL) Brennbarkeitsgrenze beschränkt. Bei Konzentrationen des brennbaren Gases oberhalb von UFL handelt es sich um ein sog. fettes“ Gemisch, in welchem es wegen der Sauerstoffverdrängung nicht zu einer Entzündung kommen kann.

Unterhalb von LFL (mageres Gemisch) besitzt das Gemisch zu wenige brennbare Bestandteile, sodass es nicht zu einer dauerhaften Flammbildung kommen kann. Der Wert für UFL nimmt mit steigendem R 744-Anteil deutlich ab und LFL nimmt dabei leicht zu. Ab einer gewissen Konzentration an Kohlendioxid, auch minimale Sauerstoffkonzentration O2min genannt, welche für eine Vielzahl berechneter Gemische bei etwa 30 bis 35 Volumenprozent liegt, hat das Gasgemisch keine UFL und LFL mehr und ist als nicht brennbar einzustufen.

In Bild 3 sind die Brennbarkeitsgrenzen exemplarisch für ein Gemisch aus Butan (R 600) und R 744 bei einer Temperatur von 25 °C und atmosphärischem Druck dargestellt. Bei der Betrachtung dieser Grafik ist dabei darauf zu achten, dass der Luftanteil des Gemisches berechnet werden kann mit folgender Gleichung:

ist hierbei der Volumenanteil der jeweiligen Gemischkomponente, welche für ideale Gase den Molanteilen entsprechen.

Insbesondere die obere Brennbarkeitsgrenze erhöht sich mit steigender Temperatur und somit verändert sich der Bereich der Brennbarkeit. Auch muss bei bestimmten Anwendungen darauf geachtet werden, dass es nicht zu einer lokalen Anreicherung von brennbarem Gas kommt, da in diesemFall die brandhemmende Wirkung des Kohlendioxids nicht gilt.

Zusammenfassung

Basierend auf Stoffwert- und Brennbarkeitsberechnungen wurde gezeigt, dass alternative Kältemittelgemische auf Basis von Kohlendioxid mit einem geringen GWP existieren. Diese Gemische erfüllen in weiten Bereichen die rechtlichen Anforderungen der EU-F-Gase-Verordnung und können somit auch zukünftig eingesetzt werden. Die negativen Eigenschaften von R 744 können gezielt korrigiert und gleichzeitig die positiven Eigenschaften wie die Nichtbrennbarkeit beibehalten werden. Der Temperaturgleit kann je Gemisch unterschiedlich hohe Werte annehmen, wobei sowohl azeotrope als auch zeotrope Gemische möglich sind. Für den zukünftigen Einsatz solcher Gemische sind weiterführende Untersuchungen notwendig, insbesondere im Hinblick auf Anlageneffizienz, Schmierstoffverträglichkeit und weitere Aspekte.

http://www.tu-dresden.de

Gegen Gase und Luft in Kühlsystemen

Verschlammung und Druckschwankungen sind nur zwei der Probleme, die auftreten können, wenn sich Luft oder Gas in einer Heiz- oder Kühlanlage befindet. Um dieser Gefahr vorzubeugen, ist eine Entgasung oder Entlüftung der Systeme notwendig. Von Sunline Deckenstrahlungsheizungen gibt es dafür ein betriebssicheres, effizientes und langlebiges System SDE zur Druckhaltung und Entgasung von Heizungs- und Kühlanlagen. Daneben sind weitere Funktionen integriert. Das System entspricht dem Henry’schen Gesetz, das das Verhältnis von Gaslösungsvermögen in Wasser in Abhängigkeit von Druck und Temperatur beschreibt. Demnach kann Wasser unter Druck höhere Mengen an Gas binden. Durch den unterschiedlichen Druck in Heizungs- und Kühlanlagen kann dieses gebundene Gas in Teilbereichen wieder freigesetzt werden. Mögliche Folgen sind unter anderem Funktionsstörungen oder Korrosion.

SDE ist eine Lösung für die Druckhaltung, Ausdehnungsaufnahme, Luftabscheidung, Nachspeisung und Effizienzsteigerung in Heiz- und Kühlsystemen. Das System stellt eine kompakte Einheit aus einem geschlossenen, drucklosen Edelstahlbehälter ohne Membrane mit Druckhaltepumpe sowie einem aus mehreren Komponenten bestehenden Steuer- und Regelungsmodul dar. Im Edelstahlbehälter findet nicht nur die Entgasung des Anlagenwassers statt, sondern hier wird auch das Expansionswasser aufgenommen und der Anlage über die Druckhaltepumpe wieder zugeführt. Die im SDE integrierte Funktion der automatischen Nachspeisung hat zusätzlich den Vorteil, dass das Nachfüllwasser im drucklosen Behälter vor Zuführung in das Anlagennetz ebenfalls entgast wird. So wird unter allen Umständen der Eintrag von Luft in das Heizungs- und Kühlwassernetz verhindert. Während durch den wiederkehrenden Entgasungsprozess die Luft im Anlagennetz abgebaut wird, verbessert sich gleichzeitig der pH-Wert und der Leitwert des Anlagenwassers.

https://sunline-heizflaechen.de/

Prof. Dr.-Ing. Ullrich Hesse,

Institut für Energietechnik, Bitzer-Stiftungsprofessur für Kälte-, Kryo- und Kompressorentechnik, Technische Universität Dresden

Dipl.-Ing. (FH) Tobias Göpfert,

wissenschaftlicher Mitarbeiter, Institut für Energietechnik, Bitzer-Stiftungsprofessur für Kälte-, Kryo- und Kompressorentechnik, Technische Universität Dresden

Fußnoten

Literatur:

[1] Span, R., Wagner, W.: A New Equation of State for Carbon Dioxide Covering the Fluid Region from the Triple-Point Temperature to 1100 K at Pressures up to 800 MPa“, J. Phys. Chem. Ref. Data, 25 (6):1509–1596, 1996

[2] Lemmon, E. W., Huber M. L., McLinden M. O.: REFPROP 9.1. NIST Standard Reference Database 23“, (2013)

[3] Hodnebrog, Ø. et al.: Global warming potentials and radiative efficiencies of halocarbons and related compounds: A comprehensive review.“ Reviews of Geophysics 51.2 (2013): 300–378

[4] Zabetakis, M.G.: Flammability characteristics of combustible gases and vapors“. No. Bull-627. Bureau of Mines Washington DC, 1965

[5] Nickel, W. J.: Entwicklung einer Expander-Kompressor-Einheit zur Realisierung eines transkritischen Linksprozesses mit dem Arbeitsstoff Kohlendioxid“, Dissertation, TU-Dresden, 2007

[6] Wenzel M.: Zur Einbindung und Regelung einer Expander-Kompressor-Einheit in Anlagen der Gewerbekälte“, Dissertation, TU-Dresden, 2014

Jetzt weiterlesen und profitieren.

+ KK E-Paper-Ausgabe – jeden Monat neu
+ Kostenfreien Zugang zu unserem Online-Archiv
+ Fokus KK: Sonderhefte (PDF)
+ Webinare und Veranstaltungen mit Rabatten
uvm.

Premium Mitgliedschaft

2 Monate kostenlos testen