Springe auf Hauptinhalt Springe auf Hauptmenü Springe auf SiteSearch
  • Home
  • Alle Artikel zum Thema wasser

Alle Artikel zum Thema wasser

Panasonic

Heizung, Kühlung und Warm­wasser in Kühlschrankgröße

-

Mit dem Kompakt-Kombi-Hydromodul für die Aquarea Split-Wärmepumpen der J-Serie fasst Panasonic nahezu die gesamte Inneninstallation für Heizung, Kühlung und Warmwasserbereitung in einem kompakten Gerät mit einer Stellfläche von 598 x 600 mm zusammen. Auch das Ausdehnungsgefäß ist fertig verrohrt...

Bild 1
Heizen mit Eis

„Wasser ist die Kohle der Zukunft“

-

Wasser und seine ganz besonderen Eigenschaften sind in unserem täglichen Leben noch viel zu wenig genutzt. So beschrieb Jules Vernes schon 1870 in seinem Buch „Die geheimnisvolle Insel“. Wasser ist in jeder Art der Nutzung absolut zyklenfest und Quelle allen Lebens auf der Erde. …war schon mal Eiswürfel am Nordpol, Wolke, Regentropfen überm Amazonas und unsere Erfrischung an heißen Tagen. H2O ist in getrennter Form in Wasserstoff und Sauerstoff der zukünftige Energieträger schlechthin – und nach der Nutzung wieder Wasser.

In dieser Rack-Reihe sind Rohrleitungen für Wasser, ein Wärmeübertrager samt Pumpengruppe und ein Druckausgleichsgefäß integriert.
Komplett wasserbasierte Kühlung für Rechenzentrum spart Energie

Wasser für die Hochleistungs-IT

-

Die Kühlung eines Rechenzentrums ist einer der größten Energiefresser im laufenden Betrieb.
Es sind daher neue Lösungen erforderlich. Eine davon – zugegeben nicht ganz neu – ist die wasserbasierte Kühlung. Neuartig ist allerdings die technische Umsetzung von Megware und Schäfer IT-Systems, die für die Kühlung am Leibniz-Rechenzentrum in München gänzlich auf Luft verzichteten und auch Netzteile, Netzkomponenten und Switches mit Wasser kühlen – zugunsten einer deutlichen Steigerung der Energieeffizienz.

Das Kampmann-Seminar Die Antwort auf die F-Gase Verordnung Zukunftsfähig Kühlen mit Wasser beschreibt die Entwicklungen bei herkömmlichen Kältemitteln und zeigt Lösungen für zukunftssichere Kühlsysteme auf (im Bild: Dipl.-Ing. Ingo Lübken, Leiter Kampmann Kampus).
Kampmann-Seminar in Kooperation mit Efficient Energy

Alles Wissenswerte zum zukunftsfähigen Kühlen mit Wasser

-

Mit dem Seminar Die Antwort auf die F-Gase Verordnung Zukunftsfähig Kühlen mit Wasser bietet Kampmann eine Veranstaltung zu einem hochaktuellen Branchenthema an. Die schrittweisen Verbote von Kältemitteln durch die EU-Richtlinie haben zu großer Unsicherheit auf dem Markt und einem erheblichen Preisanstieg bei herkömmlichen Kühlflüssigkeiten geführt. Vor diesem Hintergrund stellt das in Kooperation mit der Efficient Energy GmbH durchgeführte Seminar Planern sowie Anlagenbauern und -betreibern alternative Kälteerzeugungsprinzipien für zukunftssichere Kühlsysteme vor.

DBU: Wasser als Kältemittel vor dem Durchbruch?

-



Unterstützt von der Deutschen Bundesstiftung Umwelt (DBU) will Efficient Energy (v. l. Oliver Kniffler, Dr.-Ing. Jürgen Süß, Holger Sedlak) seine Rechenzentren-Kühltechnik für weitere Einsatzgebiete optimieren.








www.diekaelte.de/Gentner.dll/PL_102988_780033




Wasser als Kältemittel vor dem Durchbruch?
Deutschen Bundesstiftung Umwelt (DBU)

Wasser als Kältemittel vor dem Durchbruch?

-

Umweltfreundlich cool bleiben das wird vielleicht schon bald ein auf niedrigere Kaltwassertemperaturen als bisher üblich ausgelegter eChiller ermöglichen. Fachlich und finanziell mit rund 300.000 Euro unterstützt von der Deutschen Bundesstiftung Umwelt (DBU), will die Firma Efficient Energy (Feldkirchen) die jüngst erst für Rechenzentren und Serverräume zur Serienreife entwickelte Kühltechnik mit Wasser als Kältemittel auch für neue Einsatzgebiete optimieren.

Prozesskühlung mit Wasser
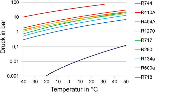
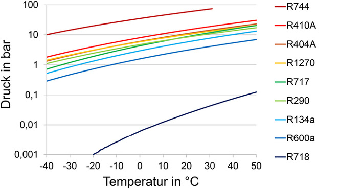
Stand der Anwendung von Wasser als Kältemittel

Prozesskühlung mit Wasser

-

Wie in allen Bereichen der Technik wird es auch in der Kälte-, Klima- und Wärmepumpenbranche zunehmend wichtig, auf die Energie- und Umwelteffizienz der Produkte zu achten. Der Kälte- und Wärmebedarf wächst überproportional, denn weltweit müssen immer mehr Geräte und industrielle Prozesse gekühlt und Gebäude klimatisiert werden. Damit steigt der globale Stromverbrauch zur Deckung des Kühlbedarfs – und je weniger elektrische Energie jedes einzelne Kälte- und Klimaprodukt zum Betrieb benötigt, umso besser wird die Umwelteffizienz. Jürgen Süß, Feldkirchen

Luft und Wasser als Öl-Ersatz
Luft/Wasser-Wärmepumpen in gewerblich genutzten Gebäuden

Luft und Wasser als Öl-Ersatz

-

50 000 l Öl wurden jährlich benötigt, um die Werkstätten der Neumühler Bauhütte mit Wärme zu versorgen – obwohl die zu beheizende Fläche nur 2 730 m2 beträgt. Durch das Nahwärmenetzquer über das 12 000 m2 große Gelände ging ein Großteil der Energie ungenutzt verloren. Für die Sanierung wurde deswegen eine dezentrale Wärmeversorgung gewählt: Zehn Luft/Wasser-Wärmepumpen versorgen nun die Werkstätten, das Büro- und das Wohngebäude.

Luft und Wasser als Öl-Ersatz
VORSCHAU: Das lesen Sie in der nächsten Print- und E-Paper-Ausgabe der KK

Luft und Wasser als Öl-Ersatz

-

50 000 Liter Öl wurden jährlich benötigt, um die Werkstätten der Neumühler Bauhütte mit Wärme zu versorgen – obwohl die zu beheizende Fläche nur 2 730 m2 beträgt. Durch das Nahwärmenetz quer über das 12 000 m2 große Gelände ging ein Großteil der Energie ungenutzt verloren. Für die Sanierung wurde deswegen eine dezentrale Wärmeversorgung gewählt: Zehn Luft/Wasser-Wärmepumpen versorgen nun die Werkstätten, das Büro- und das Wohngebäude.

Prozesskühlung mit Wasser
Efficient Energy | VORSCHAU: Das lesen Sie in der nächsten Printausgabe der KK

Prozesskühlung mit Wasser

-

Wie in allen Bereichen der Technik wird es auch in der Kälte-, Klima- und Wärmepumpenbranche zunehmend wichtig, auf die Energie- und Umwelteffizienz der Produkte zu achten. Der Kälte- und Wärmebedarf wächst überproportional, denn weltweit müssen immer mehr Geräte und industrielle Prozesse gekühlt und Gebäude klimatisiert werden. Damit steigt der globale Stromverbrauch zur Deckung des Kühlbedarfs – und je weniger elektrische Energie jedes einzelne Kälte- und Klimaprodukt zum Betrieb benötigt, umso besser wird die Umwelteffizienz. Dieser Beitrag zeigt den Stand der Anwendung von Wasser als Kältemittel.

Mitsubishi Electric

Wasser marsch!

-

Am 23. September fand in Ratingen die Pressekonferenz von Mitsubishi Electric statt. Neben der wirtschaftlichen Situation des Unternehmens gab es auch Neuigkeiten aus dem Vertriebsbereich und eine sportliche Leistung in der Produktentwicklung.

Wasser als Kältemittel?
VORSCHAU: Das lesen Sie in der nächsten Printausgabe der KK

Wasser als Kältemittel?

-

Ein Entwicklerteam aus Bayern ist dabei, die Kälte- und Klimatechnik hocheffizient zu revolutionieren – mit ganz normalem Wasser – und zwingt so eine gesamte Branche zum Umdenken. Wasser als Kältemittel – diese Vision hat den Diplom-Informatiker Holger Sedlak fasziniert. Er rechnet, tüftelt, experimentiert und findet mit dem Diplom-Ingenieur Oliver Kniffler einen kongenialen Mitstreiter. Anfangs in der sprichwörtlichen „heimischen Garage“, später im Labor der efficient energy gmbh. Immer ein klares Ziel vor Augen.

Spannend? Dann lesen Sie den kompletten Beitrag in der nächsten KK-Ausgabe.

Clivet

Modulare Wasser/Wasser-Zentrale bis 255 kW

-



Wassergekühlte Kaltwassersätze (Leistungen von 31 bis 255 kW) und reversible Wärmepumpen (Leistungen von 30,5 bis 248 kW) Ground Medium² von ElfoEnergy (Vertrieb Clivet) für die Innenaufstellung eignen sich für Mehrfamilienhäuser und Geschäftsgebäude. Die Kombination von Verdichtern...

Alpha-InnoTec

Wandhängende Wasser/Wasser-Wärmepumpe WWB 20

-



Mit einem COP von 4,4 (W 25 / W 50) erwärmt die kompakte wandhängende Wasser/Wasser-Wärmepumpe WWB 20 von Alpha-InnoTec das Trinkwasser verbrauchsnah, was die Energie- und Zirkulationsverluste in der Wärmeverteilung vermindert. Kombiniert mit dem Warmwasserspeicher lässt sich das Gerät auf...

Peter Huber

Kompakte Umwälzkühler sparen viel Wasser

-



Die kompakten Minichiller von Peter Huber können als umweltfreundliche Kühllösung für zahlreiche Labor­anwendungen in einer Arbeitswoche bis zu 48000 l Wasser einsparen und sollen sich bereits nach kurzer Zeit amortisiert haben. Die luft- oder wassergekühlten Geräte benötigen mit 225 x 360 mm...

AKTUELLES

Wasser als Kältemittel

-

Was geschieht, wenn sich Japaner und Dänen zusammentun?

Es wird ein Prototyp für ein Kälte- Klimasystem entwickelt, das mit Wasser als Kältemittel betrieben wird!

Novelan / Siemens

Haustechnikzentrale Luft/Wasser

-



Die neuen Haustechnikzentralen Luft/Wasser von Novelan, Kasendorf, unter der Marke Siemens, kurz HLW, kombinieren eine Luft/Wasser-Wärmepumpe, ein Lüftungsmodul sowie einen Brauchwarmwasser-Speicher in nur einem Gerät. Diese Kombination eignet sich hervorragend für die effiziente und...

Axima/ILK Dresden

Wasser als Kältemittel

-



Die Axima Refrigeration und das Dresdner Institut für Luft- und Kältetechnik (ILK) haben einen Kooperationsvertrag zur gemeinsamen Entwicklung der dritten Generation des Wasserturbos geschlossen. Ziel der Kooperation zwischen Axima Deutschland und dem ILK ist es, das Design zu optimieren, die...

Mitsubishi Electric

Komplettsysteme für kaltes und heißes Wasser

-



Mit den neuen Wassermodulen weitet Mitsubishi Electric den Anwendungsbereich der City Multi-Serie weiter aus und biete damit eine Komplettlösung zur Warm- und Kaltwasserbereitung von 5 bis 45 °C sowie zur Brauch­wasserbereitung bis 70 °C an. Die Module mit 11,2/12,5 und 22,4/25,0 kW Kälte-...

KÄLTE & KLIMATECHNIK

AquaTurbo mit Wasser als Kältemittel

-

Zu einer sehr gut besuchten Vortragsveranstaltung hatte der DKV-Bezirksverein Hannover in den Hörsaal des Instituts für Kältetechnik und Angewandte Wärmetechnik der Universität Hannover eingeladen. Das Thema Kompressionskälteanlage mit Wasser als Kältemittel wurde nicht nur theoretisch sondern auch hinsichtlich möglicher Einsatzfelder umfassend durch Dr.-Ing. P. Albring vom ILK Dresden behandelt.