Springe auf Hauptinhalt Springe auf Hauptmenü Springe auf SiteSearch
Stand der Anwendung von Wasser als Kältemittel

Prozesskühlung mit Wasser

Hierbei wird zukünftig der Einsatz von Wasser als Kältemittel eine Rolle spielen, da Wasser einige sehr vorteilhafte Eigenschaften hat, wenn das Ziel, eine möglichst geringe Belastung der Umwelt und gleichzeitig eine hohe Wirtschaftlichkeit gefordert wird. Allerdings unterscheidet sich Wasser grundsätzlich von den konventionellen Kältemitteln. Sämtliche Anlagenkomponenten sind daher neu zu konstruieren bzw. bei Einsatz von verfügbaren Komponenten in der Regel zu qualifizieren.

Die Anwendung von Wasser als Kältemittel ist von Absorptionsprozessen – zunächst mit Schwefelsäure und später dann mit Lithiumbromid – seit Ende des 17. Jahrhunderts bekannt und industriell in bedeutendem Umfang umgesetzt. Auch bei Adsorptionsverfahren kommt Wasser besonders wegen seiner großen Verdampfungsenthalpie und Umweltverträglichkeit zum Einsatz.

Dampfstrahlkälteerzeugung mit Wasser stellt hingegen eher eine Nischenanwendung dar und die Verwendung von Wasser als Kältemittel in Kompressionskälteanlagen ließ sich bisher nicht in einem Serienprodukt wirtschaftlich umsetzen, obwohl es immer wieder Ansätze dazu gab.

Im Folgenden werden die Eigenschaften von Wasser als Kältemittel dargestellt und beispielhaft technische Umsetzungen von Maschinen vorgestellt. Weiterhin wird ein Konzept zur energetisch und gleichzeitig wirtschaftlich sinnvollen Nutzung von Wasser als Kältemittel diskutiert. Die Grundlage ist dabei die direkte Verdampfung und Verflüssigung von Wasser sowie dessen Verdichtung mittels eines kleinen, direkt angetriebenen Turboverdichters. Die Maschine erreicht über ein Jahr betrachtet besonders hohe Wirkungsgrade und hat damit das Potenzial, die Abfuhr von Abwärme, die bei vergleichsweise geringem Temperaturniveau anfällt, zu revolutionieren.

Eigenschaften von Wasser

Wasser (H 2 O) ist eine chemische Verbindung aus den Elementen Sauerstoff und Wasserstoff und wird in der Kältetechnik wegen seiner Molmasse von ca. 18 g/mol auch als R718 bezeichnet. Wasser ist als Flüssigkeit durchsichtig, farb-, geruch- und geschmacklos. Weiterhin ist Wasser ein sehr stabiles Molekül, das weder ein Treibhaus- noch ein Ozonabbaupotenzial hat. Bei der Verwendung von Wasser als Kältemittel ist eine weitere Eigenschaft von Bedeutung, die eine uneingeschränkte weltweite Anwendung ermöglicht: es ist bekanntermaßen nicht brennbar. Wasser ist die einzige chemische Verbindung auf der Erde, die in der Natur als Flüssigkeit, als Festkörper und als Gas vorkommt. Bei der Verwendung in einer Kälteanlage tritt es in flüssiger und gasförmiger Form auf, wobei der thermodynamische Kreisprozess im Vakuum verläuft.

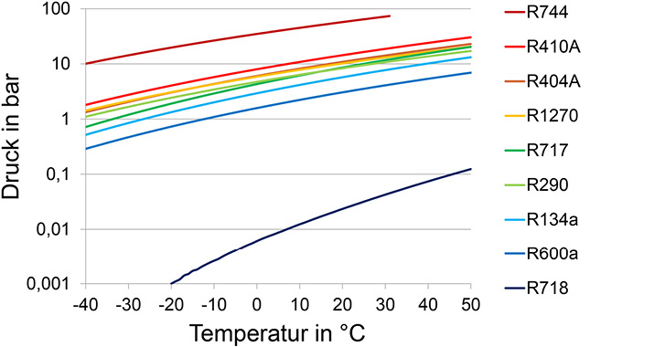
In Bild 1 ist die Dampfdruckkurve von Wasser im Vergleich zu traditionellen Kältemitteln dargestellt. Während CO 2 , also R744, die höchsten Drücke aller Kältemittel aufweist, liegt die Dampfdruckkurve von Wasser so, dass sich im üblichen Temperaturbereich für Kühlanwendungen Drücke zwischen 10 und 100 mbar ergeben. Die Anwendung von Wasser in Kompressionskälteanlagen unterhalb von 0 °C wird in der Regel vermieden.

Die Dichte von flüssigem Wasser beträgt auch im Anlagenbetrieb 1 000 kg/m 3 , die vom Dampf hingegen ca. 20 g/m 3 . Das ist ein für die Kältetechnik sehr großes Verhältnis und wegen der geringen Gasdichte muss das Verdichterkonzept so gewählt werden, dass keine Nachteile durch die geringe volumetrische Kälteleistung von Wasser oder durch zusätzliche Druckverluste beim Ansaugen durch den Verdichter entstehen. Wenn dies beachtet wird, hat Wasser ansonsten exzellente stoffliche und thermodynamische Eigenschaften, ist unkompliziert und leicht verfügbar.

Prozesskühlung mit Wasser als Kältemittel

Die effiziente Anwendung von Wasser als Kältemittel gelang durch eine komplett neue, energetisch optimale und direkte technische Umsetzung des thermodynamischen Kreisprozesses [1].

Eine wesentliche Herausforderung ist dabei, dass Wasser im relevanten Temperaturbereich einen niedrigen Sättigungsdruck von nur wenigen mbar hat. Daraus ergibt sich eine geringe Dichte und somit ein entsprechend großer Volumenstrom der dampfförmigen Phase, der bei der konstruktiven Ausführung aller Anlagenkomponenten berücksichtigt werden muss. Daher wurden für die Maschine, die den Namen eChiller trägt, alle Komponenten neu entwickelt. Hierbei sind besonders der hocheffiziente, elektronisch geregelte Turboverdichter und der Verdampfer bzw. Verflüssiger zu nennen. In Bild 2 sind der Aufbau und die schematische Konstruktion dargestellt.

Der Aufbau des Gesamtsystems durch eine serielle Kombination der beiden Module erlaubt es, sowohl in Abhängigkeit der inneren Wärmelast als auch der Außentemperatur jeweils nur die Anlagenteile zu betreiben, die notwendig sind, um die geforderte Kälteleistung und Temperaturhub zu erbringen und die abzuführende Wärme mit der minimal erforderlichen Temperaturdifferenz an die Wärmesenke abzuführen. Die Übergänge sind fließend und reichen vom zweistufigen Volllastbetrieb über einstufigen Betrieb bis zum reinen Freikühlmodus. Doch anders als bei herkömmlichen Kältesystemen mit Free Cooling“ setzt die interne passive Kühlung des eChillers bereits bei minimal niedrigeren Außentemperaturen als die Kaltwassereintrittstemperatur ein [2].

Die Module haben den in Bild 3 dargestellten Aufbau und die Funktionsweise ist wie folgt: Die Maschine arbeitet, wie erwähnt, mit der Direktverdampfung von Wasser in einem vakuumdichten System und in geschlossenem Kreislauf. Das Kaltwasser tritt in den Verdampfer ein, wobei ca. 1 Prozent des zugeführten Wassers im dort herrschenden Vakuum verdampft. Das restliche Kaltwasser kühlt sich dadurch um mehrere Grad ab. Der entstandene Dampf wird vom Turboverdichter mit bis zu 90 000 Umdrehungen pro Minute auf ca. ein Drittel seines Ausgangsvolumens verdichtet, wobei sich Druck und Temperatur erhöhen. Der erhitzte Dampf kondensiert nach der Verdichtung im Verflüssiger direkt in den umlaufenden Kühlwasserstrom und erwärmt diesen dabei ebenfalls um mehrere Grad. Geschlossen wird der Kreislauf über ein selbstregelndes Expansionsorgan.

Ebenfalls eine kompakte Bauweise weisen der Verflüssiger und der Verdampfer auf, da sie eine sehr hohe Wärmestromdichte haben. Zudem kommen sie ohne Mediumtrennung aus: im Verdampfer ist das Kältemittel gleichzeitig das Kühlmedium und im Verflüssiger entspricht das Kältemittel dem Medium zur Wärmeabfuhr. Dadurch werden die Temperaturdifferenzen zwischen Verdampfungs- und Kaltwassertemperatur einerseits, und zwischen Verflüssigungs- und Wärmeabfuhrtemperatur andererseits, vernachlässigbar, wodurch die Wärmeübertragungsverluste marginal werden.

Auch die Ausführung des Ansaugkanals ist Teil des Integrationskonzeptes: er leitet das Sauggas überhitzungs- und fast druckverlustfrei zum Turboverdichter. Beim Ein- und Austritt des Gases aus dem Verdichter treten ebenfalls nur vernachlässigbare Druckverluste auf, wodurch der Verdichtungsprozess lediglich die Differenz zwischen Verdampfungs- und Verflüssigungsdruck überwinden muss und er sich damit optimal zwischen die Prozessdrücke legt.

Alle aufgeführten Details führen zu einer sehr energieeffizienten und damit stromkostensparenden Abfuhr von Abwärme durch den eChiller. Darüber hinaus ist das Kältemittel Wasser, wie zuvor beschrieben, sauber, sicher und gefahrenlos einsetzbar und damit von keinen gesetzlichen Umwelt- und Sicherheitsvorschriften betroffen. Durch den geschlossenen Kreislauf, der einmalig mit ca. 60 Litern befüllt ist, fallen keine Kosten für Wasserverbrauch und -aufbereitung an. Bei Außerbetriebnahme der Anlage kann das Wasser ohne Bedenken abgelassen werden.

Energetisch sinnvolle Kaltwassertemperaturen beginnen bei ca. 22 /16 °C. Systembedingt möglich und besonders wirtschaftlich sind Kaltwassertemperaturen von 28 /22 °C und höher, die herkömmliche Kältemaschinen in der Regel nicht bedienen können. Die Maschine erreicht dann eine Kälteleistung von 35 kW.

Leistungsdaten

In der Tabelle 1 sind die möglichen Be-triebsmodi der Anlage aufgeführt. Wie sich erkennen lässt, hängen der Betriebszustand und damit die elektrische Leistungsaufnahme der Anlage direkt von der bereitgestellten Kühlwassertemperatur ab. Hervorzuheben ist, dass das benötigte Verdichtungsverhältnis und damit die Temperaturanhebung des Systems immer nur so groß ist, um den Temperaturunterschied zwischen Wärmequelle und -senke sowie Wärmeübertragungsverluste zu überwinden, damit die Abgabe der aufgenommenen Energie bzw. Abwärme an die Umgebung erfolgen kann. Ab einer Kühlwassertemperatur von <18 °C ist dafür kein Betrieb der Verdichter notwendig.

Dank des Aufbaus und der speziell entwickelten Regelung ist es möglich, kontinuierlich und stufenlos zwischen den verschiedenen Betriebsmodi umzuschalten, sowohl bei Voll- als auch bei Teillast. Die Temperatur des erzeugten Kaltwassers bleibt auch während des Umschaltvorgangs annähernd konstant.

Betrieb des eChillers

Der zu erbringende Temperaturhub einer Kälteanlage ändert sich mit den wechselnden Außentemperaturen am Standort und in der Regel ist eine konventionelle Kältemaschine technisch nicht in der Lage dazu, energetisch optimal auf diese Änderungen zu reagieren, da die diversen Komponenten den Temperaturhub nicht stufenlos von Null aus steigern können.

Das Konzept der hier vorgestellten Maschine setzt da neue Effizienz-Maßstäbe: minimale Verflüssigungsdrücke müssen nicht eingehalten werden und Wärmeübertrager- sowie Verdichtungsverluste sind unwesentlich. So wird jeweils nur die Temperatur erzeugt, die zur Abgabe der momentanen Wärmemenge an die Wärmesenke mindestens notwendig ist.

Ein separater, normalerweise erforderlicher Freikühlkreislauf mit zusätzlichen Wärmeübertragern entfällt, bzw. die sonst üblichen treibenden Temperaturdifferenzen von typisch 10 K zur Aufrechterhaltung des Thermosiphon-Effekts sind nicht erforderlich.

Praxiserfahrungen mit dem eChiller

Seit Ende 2014 wird die Maschine im Feld erprobt und seit Februar 2016 erfolgt die regelmäßige Auslieferung in den Markt. Die Maschine stellt eine effiziente Lösung zur Kühlung industrieller Prozesse dar, wie das im folgenden Praxis- oder Anwenderbeispiel gezeigt wird: in einem Rechenzentrum wird eine der Redundanzen mit eChillern ausgerüstet. An dem Aufstellort wird eine Kühlleistung für die installierten Server von 70 kW gefordert. Es ist dabei ausreichend, über 5 660 Stunden des Jahres nur einen der beiden eChiller zu betreiben, der zudem nur im Frei-kühlmodus läuft. Dieser eChiller entfernt mit einem Energieaufwand von lediglich 300 W die 70 kW Abwärme aus dem Rechenzentrum und hat dabei einen COP-Wert von über 230.

Die zweite Anlage ist während dieser Zeit des Jahres nicht in Betrieb. Die restliche Zeit des Jahres, also 3100 Stunden, laufen beide eChiller mit einer Kälteleistung von jeweils 35 kW, sodass in Summe die zu entfernende Abwärme von 70 kW aus dem Rechenzentrum abgeführt wird. Die Anlagen laufen, je nach Umgebungstemperatur, entweder im ein- oder zweistufigen Betrieb. In diesem Zeitraum erreichen die Anlagen, je nach Umgebungstemperatur, einen durchschnittlichen COP-Wert von 20 mit einer durchschnittlichen Leistungsaufnahme für beide Maschinen von ca. 3 kW.

Über das gesamte Jahr betrachtet wird damit die in Summe gelieferte Kälteleistung von 610 MWh mit einem über das Jahr gemittelten COP von nahezu 160 erzeugt, womit die erforderliche elektrische Leistungsaufnahme der beiden Maschinen in Summe bei 20 MWh liegt.

Damit zeigt dieses Beispiel, wie sich die Abfuhr von Wärme mit einem niedrigen Temperaturniveau von 15 bis 25 °C mit sehr hoher Energieeffizienz bewerkstelligen lässt. Es sind inzwischen zahlreiche Projekte mit dem eChiller realisiert worden und so ließen sich, je nach Anwendung, mehr als 80 Prozent Antriebsenergie zur Kälteerzeugung einsparen, wobei ein weiterer Vorteil beeindruckt, dass lediglich Wasser als Kältemittel zum Einsatz kommt.

Anders als die eingangs erwähnten Ansätze, Wasser als Kältemittel zu verwenden, stellt der eChiller nun eine Lösung dar, die nicht nur technisch, sondern auch wirtschaftlich sehr relevant ist und das Potenzial hat, die heutigen Technologien aus derartigen Anwendungen zu verdrängen.

www.efficient-energy.de

Dr. Jürgen Süß,

Geschäftsführer der Efficient Energy GmbH, Feldkirchen

Fußnoten

Literatur

1Süß, J.: Eine kompakte Kälteanlage mit Wasser als Kältemittel, DKV-Jahrestagung, Arbeitsabteilung III,  Düsseldorf 2014

2Süß, J.: The use of water as refrigerant in a centrifugal chiller, PROCLIMATE 2015 International Congress, Warszawa, 2015

Jetzt weiterlesen und profitieren.

+ KK E-Paper-Ausgabe – jeden Monat neu
+ Kostenfreien Zugang zu unserem Online-Archiv
+ Fokus KK: Sonderhefte (PDF)
+ Webinare und Veranstaltungen mit Rabatten
uvm.

Premium Mitgliedschaft

2 Monate kostenlos testen