Springe auf Hauptinhalt Springe auf Hauptmenü Springe auf SiteSearch
Teil 2: Praktisches R22/R507-Umstellungskonzept Kälteanlagenbau

Ersatz von R22 Was ist zu beachten?

Grundsätzlich ist bei der Umrüstung einer größeren R22-Kälteanlage (>100kg) auf R507 von einem größeren Eingriff, also von einem Umbau der Anlage auszugehen. Insbesondere überflutete Verdampfersysteme und R22-Pumpenkälteanlagen mit dezen­tralen Verbrauchern sind hierbei gewissenhaft auf ihre Eignung zur Umrüstung auf R507 zu prüfen.

Da auch die umgerüstete Kälteanlage mit einem druckverflüssigten Arbeitsstoff arbeiten wird, der keinen Leckageverlusten unterliegen darf, ist der langfristige Erfolg der Umrüstung nur durch sorgfältiges Arbeiten, durch Auswahl geeigneter Komponenten und Arbeitsschritte sowie nachfolgender Wartung der Anlage nach Abschluss der Umrüstung zu erreichen.

Da die Arbeitsstoffe, das Kältemittel und das Kältemaschinenöl, geändert werden, ist die Betriebsanleitung, Dokumentation und arbeitssicherheitstechnische Unterweisung der Mitarbeiter entsprechend zeitgleich zur Umrüstung zu überarbeiten bzw. durchzuführen.

Prüfung der Wirtschaftlichkeit

Ausgehend vom Anlagenalter, Anlagenzustand und realistischer Restnutzungszeit ist das Vorhaben der Umrüstung mit dem Anlagenbetreiber zu diskutieren. Folgende Aspekte sind hierbei zu beachten:

  • Wartungs-, Reparatur-, und Energiekosten der letzten drei Jahre
  • Änderungen bei Strom- und Wasserkosten
  • Abschreibungszeitraum
  • Änderungen im Prozessablauf des Betreibers in der Peripherie der Anlage
  • Budget des Betreibers für Umrüstung
  • Mögliche Änderungen bezüglich Effizienz und Leistung der Anlage nach erfolgter Umrüstung

Vergleich der Betriebsparameter R22/R507

Bei der Prüfung einer Umrüstung auf R507 ist eine Berechnung des bestehenden Kältekreislaufes vor und nach Umstellung der Anlage zwingend geboten. Insbesondere Änderungen bei Kondensations- und Mitteldrücken sind hierbei zu betrachten. Ferner sollten bei der Umrüstung von R22 auf R507 die Änderungsmöglichkeiten zur Optimierung bzw. zur Nutzung der abweichenden Fluideigenschaften von R507 gegenüber R22 überprüft werden. In Tabelle 7 sind verschiedene Konzepte bei gleichen Randbedingungen bezüglich Temperatur und Leistung gegenübergestellt.

Aufgrund seines günstigen thermo-physikalischen Verhaltens tendiert R507 zu niedrigeren Verdichterendtemperaturen als R22. Dieser Vorteil kann beispielsweise durch Einbau eines inneren Wärmetauschers (IWT) genutzt werden. Nach Tabelle 7 wird dadurch der relative Effizienzverlust zwischen R22 einfach, R507 einfach und R507 IWT von 10% auf 3% reduziert werden. Gleichzeitig erhöht sich beim Einsatz des inneren Wärmetauschers die volumetrische Kälteleistung. Dies schafft bei gleichem Fördervolumen des Kompressors zusätzliche Leistungsreserven der Kälteanlage.

Der Einsatz eines Schraubenkompressors mit Economizer bringt bei R507 eine geringe Leistungssteigerung, liefert aber mit dem gleichen R22-Aggregat eine ca. 10%ige Steigerung der Kälteleistung bei gleicher Drehzahl.

Wichtig ist darauf zu achten, dass der Antriebsmotor nach der Umstellung auf R507 genügend Leistungsreserve hat. Ist dies nicht der Fall, muss eine Anpassung des Motors vorgenommen werden.

Die tabellarische Gegenüberstellung von alten und neuen Betriebsparametern sollte in jedem Fall Vertragsgegenstand sein.

Prüfung Komponenten und Verbraucher gemäß Herstellervorgaben

Ausgehend von den Werten aus dem Vergleich der Betriebsparameter ist für jede Komponente des vorhandenen Kühlkreislaufes die technische Eignung der Baugruppe bei Betrieb mit R507 nachzuweisen.

Dabei ist auch auf Dichtwerkstoffe und die Leistungsfähigkeit von Drosselorganen mit den neuen Betriebsmitteln zu achten. R22 besitzt andere Lösungseigenschaften als R507. Dichtwerkstoffe können davon direkt betroffen sein. Ein Nachweis der Verträglichkeit aller verbauten Dichtwerkstoffe gegenüber dem geänderten Kältemittel (R507) und dem verwendeten Kältemaschinenöl ist zwingend notwendig.

Betriebliche Vorplanung

Da die Betreiber Kälteanlagen nicht zum Selbstzweck betreiben und insbesondere größere R22-Anlagen häufig elementare Produktionsfaktoren darstellen, ist die ausführliche Planung einer Umrüstung auf neue Kältemittel/Öle unablässig zur Sicherstellung des wirtschaftlichen Erfolgs aller Beteiligten.

Zeitplan

Basis für eine erfolgreiche Kältemittel/Kältemaschinenöl-Umrüstung ist ein ausführlicher Zeitplan, in dem festgelegt wird, welche Vorleistungen, Hauptleistungen und baulichen Leistungen, zu welchem Zeitpunkt und von welcher Vertragspartei zu erbringen sind.

Mögliche Betriebsunterbrechungen, auch während Inbetriebnahme bzw. Phasen mit reduzierter Leistung, sind eingehend zwischen den beiden Vertragsparteien herauszuarbeiten. Ein Zeitplan sollte ebenfalls Bestandteil des Vertrages sein.

Ersatzkälteversorgung/Notbetrieb

Ausgehend vom Zeitplan ist bei längeren Leistungsstörungen für die Produktion, die Bereitstellung von Ersatzkälteanlagen (z.B. Mietaggregate) bzw. die separate Realisierung eines Notbetriebes zu prüfen und gegebenenfalls umzusetzen. Wichtig ist hierbei die frühzeitige Klärung dieser Punkte, um eine kostengünstige und sichere Versorgung für den Umbauzeitraum bereitzustellen.

Vertragliche Gestaltung

Da die Umrüstung einer bestehenden R22-Kälteanlage eine umfangreiche und kostenintensive Maßnahme darstellt, ist eine umfangreiche vertragliche Fixierung notwendig. Diese sollte folgende Punkte umfassen:

  • Festlegung von Lieferein- und -ausschlüssen: Je umfangreicher die Auflistung, desto transparenter ist das Vorhaben für alle Beteiligten von Beginn an.
  • Garantiewerte Kälteleistung / zeitlicher Ablauf: Siehe Parametervergleich und Zeitplan
  • Garantien und Gewährleistungen: Der Garantie- und Gewährleistungsumfang der vereinbarten Kältemittel- und Öl-Umrüstung sollte klar umrissen werden. Die Übernahme von Garantie und Gewährleistungszusagen für Altkomponenten ist zu vermeiden. Des Weiteren ist möglichen Kältemittelverlusten und zusätzlichen Ölwechseln ein erhöhtes Augenmerk zu widmen, um hier nicht unkalkulierbare Kosten für den Anlagenbauer zu erzeugen.
  • Haftungsein- und -ausschlüsse: Wichtig ist hierbei, dass sich beide Vertragspartner über die Grundlage von Haftung, Folgeschadenhaftung (inkl. möglicher Produktionsausfälle) und auch Bearbeitungsschäden offen auseinandersetzen. In der Regel ist ein pauschal gehaltenes Einkaufs-AGB für die vorgenannten Umrüstungsarbeiten ungeeignet und eine individuelle Bearbeitung bzw. ein individueller Vertrag ist anzustreben.
  • Arbeitssicherheit und Umweltschutz: Im Vertrag sollte das Thema Arbeitssicherheit und Umweltschutz fixiert werden. Das Thema Arbeitssicherheit ist, mittels einer Gefahrenanalyse und Mitarbeiterbelehrung, zu behandeln und zu protokollieren. Der Umweltschutz ist, auf betriebliche, örtliche und gesetzliche Belange hin zu beachten. Die Beseitigung und Vermeidung von Abfällen ist zu klären. Bei Altanlagen ist möglicherweise noch mit asbesthaltigen Abfällen (Dichtungen) zu rechnen. Grundsätzlich ist der Eigentümer/Betreiber der Abfallerzeuger und zur ordnungsgemäßen Abfallbehandlung verpflichtet.

Beschaffung von Materialien und Komponenten

Bei der Entsorgung und Reinigung vor Ort sind folgende Werkzeuge, Arbeits- und Betriebsstoffe vorzuhalten:

  • persönliche Sicherheitsausrüstung gemäß BGR500
  • Kältemittelrecyclingbehälter
  • Ölauffangbehälter/Recyclingbehälter
  • Waage
  • Absaugaggregate/Vakuumpumpe
  • Lecksuchgerät
  • Monteurhilfe
  • Stickstoff bzw. getrocknete Druckluft
  • Arbeitserlaubnis inkl. Feuerarbeiten
  • schriftliche Arbeitsanweisung erstellen

Ferner muss, gemäß der EG303/2008, die Eignung des ausführenden Fachpersonals nachgewiesen werden.

Bezüglich der Beschaffung von Komponenten ist vorher zu prüfen, wie jedes einzelne Bauteil der Anlage behandelt werden soll, ob es ersetzt werden muss oder ein Weiterbetrieb mit der Komponente möglich ist. Dies betrifft insbesondere sämtliche Dichtwerkstoffe, die auf ihre Eignung bezüglich des neuen Kältemittel-/Ölgemischs zu prüfen und zu bewerten sind. Bei nachfolgenden Komponenten sind zusätzliche Punkte zu beachten:

Verdichter:

Auf Basis des neuen Betriebspunktes Eignungsüberprüfung nachfolgender Komponenten:

  • E-Motor/Schaltanlage
  • Ölkühlerleistung und Funktion
  • Dichtungsmaterialen, gegebenenfalls Neueindichtung
  • Gleitringdichtung
  • Wechsel aller Filterelemente
  • Manometer an neues Kältemittel anpassen
  • Druckbereich und Einstellung DBK/SDBK/Überstromventile
  • Vollständige Reinigung von Triebwerk und gegebenenfalls des Ölabscheiders

Wärmetauscher:

Auf Basis des neuen Betriebspunkts Eignungsüberprüfung folgender Punkte:

  • Verdampferleistung/Kondensationsleistung
  • Sauberkeit Wärmeaustauschflächen
  • Eignung Verdampferregelung/Kondensatorregelung
  • Funktion Ölrückführung
  • Dimensionierung von Armaturen und Rohrleitungen
  • Druckprobe vor Umrüstung

Rohrleitungen und Ölrückführungen:

  • Entleeren und Spülen der Rohrleitungen (mit Stickstoff, getrockneter Luft)
  • Entleeren von Säcken und Tiefpunkten
  • Festlegung der Ölrückführsystematik unter Berücksichtigung von Dichte und Lösbarkeit der neuen Kältemittel/Öle
  • Druckprobe vor Umrüstung

Armaturen und Automatik:

  • Überprüfung Funktion und Dimensionierung für neuen Betriebspunkt
  • Demontage und Austausch/Reinigung von Filtern und Dichtungen
  • besonderes Augenmerk auf Expansionsorgane wie: ND Schwimmer HD Schwimmer DX-Ventile etc.
  • Schaltungen/SPS-Programmierung

sonstige Bauteile:

  • Niveau-Sonden
  • Kältemittelpumpen
  • Schaugläser/Indikatoren
  • Filtertrockner
  • Austausch von zweifelhaften Bauteilen, insbesondere bei schlechtem Zustand und zukünftig zweifelhafter Ersatzteil­versorgung

Gaswarnsystem:

  • Umrüstung vorhandener Gaswarnsysteme auf das neue Kältemittel
  • Prüfung des Gaswarnsystems

Kältemittel/Kältemaschinenöl:

Bei der Beschaffung des Kältemittels ist vorher die Menge an Frischware festzulegen. Die Menge an Frischware sollte mit einem Reservepuffer für etwaige Mehrmengen an Kältemittel versehen sein, die zum Erreichen des stabilen Laufes im Betriebspunkt nötig sein könnten. Das Kältemittel kann in unterschiedlichsten Gebindegrößen vom Fachhandel zur Verfügung gestellt werden (siehe Bild 9).

Nach der EG2037/2000 ist die in der Anlage befindliche Menge an R22 zurückzugewinnen und der Entsorgung bzw. einer weiteren Behandlung zuzuführen (vgl. Teil 1, Abschnitt gesetzliche Regelungen). Hierfür sind spezielle Recyclingbehälter, die für R22 zugelassen sind, vorzuhalten.

Für das Kältemaschinenöl gelten bei der Beschaffung die gleichen Grundsätze wie für das Kältemittel. Hierbei muss speziell eine etwaige Mehrmenge für zusätzliche Ölwechsel berücksichtigt werden.

Sicherheitsdatenblatt R507 und

POE Kältemaschinenöl:

Im Sicherheitsdatenblatt sind wichtige Hinweise zu einer etwaig ausgehenden Gefahr und dessen Abwehr sowie zur Handhabung und Lagerung enthalten. Diese sollten unbedingt vorher zur Kenntnis genommen werden und können vom Hersteller bzw. dem Lieferanten des Kältemittels und Kältemaschinenöls bezogen werden.

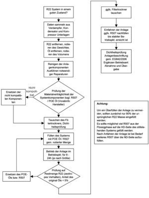
Technische Umsetzung vor Ort

Die technische Umsetzung der Umrüstung ist gemäß der beschriebenen Grundsätze der DIN EN378-4:2008 durchzuführen.

Inbetriebnahme/Probebetrieb: Nach Umrüstung der Anlage ist die Kälteanlage vergleichbar einer Neuinbetriebnahme einzufahren und abzuprüfen. Entsprechende Prüfroutinen sind für das Kältemaschinenöl umzusetzen und durch Laboruntersuchungen zu dokumentieren. Die Laboruntersuchungen sollten die Analyse des Restöl- und Wassergehaltes im Kältemaschinenöl umfassen.

Leistungstest: Im Rahmen eines Abnahmeprotokolls ist, wenn möglich, ein Leistungstest zu fahren. Bei den Leistungsangaben, speziell bei Garantiewerten, ist ein Toleranzband von +/10% anzustreben. Empfehlenswert ist weiterhin die Festlegung der Leistungsfahrt hinsichtlich Umfang und Randbedingungen im Vertrag.

Abnahme / Übergabe / Dokumentation/ Betriebsanleitung: Für die Abnahme und Übergabe der umgerüsteten Anlage sollte ein identisches Prozedere eingehalten werden, wie bei der Erstellung einer Neuanlage. Hilfreich ist hierbei die Nutzung von Prüf- und Übergabeprotokollen, wie sie beispielsweise vom VDMA erhältlich sind. Die Prüfung ist gemäß DIN EN378-2:2008 Abschnitt 6.3. durchzuführen.

Durch die Umrüstung auf einen anderen Arbeitsstoff sind auch Änderungen und Anpassungen bezüglich der Dokumentation bzw. Betriebsanleitung vorzunehmen. Dies sollte nach DIN EN378-2:2008 Abschnitt 6.4. geschehen.-

Links

http://www.ghc.com

https://www.solvay.com/en/chemical-categories/fluorine-chemicals

http://www.fuchs-europe.com

1 Daten berechnet mit Solkane 6.01

2 Daten berechnet mit dem Auslegungsprogramm der Fa. Bitzer Version 5.02

Wolfgang Eckhoff,

Leitung Verkauf GHC Gerling, Holz & Co. Handels GmbH, Hamburg

Dipl.-Ing. Christian Puhl,

Produktmanagement Kältemaschinen- und Industrieöle, Fuchs Europe Schmierstoffe GmbH, Mannheim

Dipl.-Ing. Felix Flohr,

Leiter Anwendungstechnik

Kältemittel, Solvay Fluor GmbH, Hannover

Dipl.-Ing. Kai Selmer,

Vorstand Arctos Industriekälte AG, Sörup

Wolfgang Eckhoff, Hamburg, Felix Flohr, Hannover, Christian Puhl, Mannheim, und Kai Selmer, Sörup

Jetzt weiterlesen und profitieren.

+ KK E-Paper-Ausgabe – jeden Monat neu
+ Kostenfreien Zugang zu unserem Online-Archiv
+ Fokus KK: Sonderhefte (PDF)
+ Webinare und Veranstaltungen mit Rabatten
uvm.

Premium Mitgliedschaft

2 Monate kostenlos testen

Tags