Springe auf Hauptinhalt Springe auf Hauptmenü Springe auf SiteSearch
Analyse von Füllmethoden für Kälteanlagen mit Überhitzungsregelung

Richtiges Befüllen von Kälteanlagen

In vielen Kälte- und Klimaanlagen finden thermostatische Expansionsventile als Überhitzungsregler Anwendung. Hierbei stehen zwei Gedanken im Vordergrund: zum einen den Verdampfer bei verschiedensten Lastzuständen mit einer ausreichenden Kältemittelmenge zu beaufschlagen, zum anderen aber auch, sicherzustellen, dass die eingespritzte Kältemittelmenge in jedem Fall vollständig verdampft wird, um Flüssigkeitsschläge im Verdichter zu vermeiden.

Die beste Performance ist nur bei einwandfrei gefüllten Anlagen zu erwarten. Nach den Erfahrungen des Verfassers gibt es hier auch nach jahrzehntelanger Praxis noch immer diverse mehr oder weniger perfekte Methoden, von denen einige nicht nur keinen Gebrauchswert haben, sondern unter Umständen sogar für die Anlage gefährlich werden können.

Dieser Artikel soll und kann nicht die eine perfekte Methode präsentieren und gleichzeitig alle anderen verteufeln; vielmehr werden übliche und solche, die als üblich gelten, auf ihren Gebrauchswert hin analysiert und Gefahren sowie Risiken aufgezeigt, um insbesondere jungen Mechatronikern für Kälte- und Klimaanlagen in diesem Reich der Wandersagen die Orientierung zu erleichtern. Als Nebeneffekt wird der Artikel ferner zum besseren Verständnis der Wirkungsweise einer Überhitzungsregelung beitragen.

Die perfekte Füllmenge

Unabhängig von der jeweiligen Wärmelast soll die Beaufschlagung des Verdampfers mit flüssigem Kältemittel für optimale Wärmeaufnahme lastunabhängig näherungsweise konstant bleiben. Bei den beschriebenen Anlagen wird daher mit einem thermostatischen oder elektronischen Expansionsventil (TEV) die Überhitzung geregelt, wobei bei steigender Wärmelast eine entsprechend dem steigenden Bedarf größere Kältemittelmenge in den Verdampfer eingespritzt wird.

Hierbei erfordert ein sauberes Regelverhalten, dass dem Expansionsventil stets eine ausreichende Flüssigkeitsmenge vorgelagert wird, in der Regel vom Flüssigkeitssammler. Dabei hängen sowohl die Arbeitsüberhitzung als auch das Flüssigkeitsniveau im Sammler ein wenig von der jeweiligen Wärmelast ab. In den nachfolgend verwendeten Schemazeichnungen werden die physikalischen Feinheiten der Überhitzungsregelung, abhängig von Füllmenge und Wärmelast, veranschaulicht. Bitte beachten Sie hierbei auch Details wie die Stellung der Düsennadel, die Einspritzmenge und die Lage des Dew Point, des Punktes, ab dem in Fließrichtung nur noch dampf­förmiges Kältemittel vorliegt.

Hinweis: Bei hoher Wärmelast ist der zu erwartende Füllgrad des Verdampfers tatsächlich geringer als bei niedrigen Wärmelasten, lediglich der Massenstrom, also die pro Sekunde verdampfte Kältemittelmenge, ist größer!

Unter- und überfüllte Anlagen

Unterfüllte Anlagen: Sobald die Wärmelast steigt, nimmt auch die Überhitzung zu, worauf das TEV mit einer Erhöhung der Einspritzmenge reagiert, um der steigenden Überhitzung entgegenzuwirken. In dieser Situation läuft bei unterfüllter Anlage der Sammler leer, sodass die Regelung der Überhitzung außer Kontrolle gerät; die Arbeitsüberhitzung wird sehr groß.

Der Dew Point, an dem der Kältemitteldampf zu überhitzen beginnt, verlagert sich rückwärts in den Verdampfer hinein, wodurch seine Wärmeaufnahme durch Phasenwechsel (= Verdampfung) nun begrenzt wird. Die Wärmeaufnahme hinter dem Dew Point ist beschränkt auf sensible Überhitzung, was einer faktischen Reduktion der wirksamen Verdampferoberfläche einem für die Situation unterdimensionierten Verdampfer entspricht.

Überfüllte Anlagen: Bei Überfüllung einer Kälte- oder Klima-anlage befindet sich zu viel Flüssigkeit im Sammler. Schon bei relativ geringer Überfüllung und gleichzeitig geringer Wärme-last wird nun diese Flüssigkeit in den Verflüssiger zurückstauen. ­Hierbei vergrößert sich die Unterkühlungszone im Verflüssiger, wodurch der Wärmeaustausch verringert wird, da statt des Phasenwechsels (= Verflüssigung) nur noch eine sensible Unterkühlung erfolgt.

Das entspricht einer faktischen Reduktion seiner wirksamen Oberfläche, genau wie bei einem unterdimensionierten Ver-flüssiger. Als Nebeneffekt des schlechteren Wärmeaustausches steigt der Verflüssigungsdruck, was zu einer deutlichen Ver-schlechterung des COP (Coefficient Of Performance) führt und die Betriebskosten der Anlage erhöht. Bitte beachten Sie, dass Überfüllung einer Anlage die Überhitzung praktisch nicht verändert.

Füllmethoden

Füllen zur Überhitzung 0K (lose bulb-Methode): Wird der Temperaturfühler des TEV von der Saugleitung abgenommen und der relativ wärmeren Umgebungstemperatur des Kühlraumes ausgesetzt, wird das TEV die der Düsengröße und Druckdifferenz entsprechende größtmögliche Kältemittelmenge einspritzen. Durch Entspannen der auf die Membran wirkenden Feder (Einstellschraube lösen) wird der Effekt zusätzlich unterstützt. Während des Füllens wird nun kontinuierlich die Überhitzung bestimmt, welche, anfangs sehr groß, mit zunehmender Füllmenge kleiner wird.

Hierzu wird, wie allgemein bekannt, mit dem Manometer die Verdampfungstemperatur bestimmt und mit einem guten Servicethermometer die Temperatur an der Saugleitung gemessen, wo gewöhnlich der Fühler montiert ist. Nun ergibt sich die Überhitzung aus der Differenz von Verdampfungstemperatur und Saugleitungstemperatur.

Mit zunehmender Füllmenge in der Anlage wird die Überhitzung kleiner und erreicht genau dann den Wert 0K, wenn flüssiges Kältemittel den Temperaturmesspunkt in der Saugleitung erreicht. Das bedeutet nun, es befindet sich eine ausreichende Menge Flüssigkeit im Verdampfer; die Anlage ist genügend gefüllt.

Wichtige Anwendungshinweise:

Füllen bei höchster Wärmelast! Bedenken Sie: Die Einspritzdüse ist vollständig geöffnet! Wird nun der Fühler wieder an der Saugleitung montiert, kann das TEV die Einspritzmenge lediglich reduzieren, nicht aber erhöhen! Wird bei geringerer als der vollen Wärmelast gefüllt, ergibt sich immer eine Unterfüllung der Anlage! Die Forderung nach voller Wärmelast stellt das Hauptproblem dieser und auch einiger der folgenden Methoden dar. Wird zum Beispiel im Feld eine defekte Anlage instandgesetzt und befüllt, ist der Warenbestand mög-licherweise durch den vorangegangenen Ausfall der Kühlung bereits gefährdet. In dieser Situation ist der Techniker sicher nicht ohne akute Gefährdung seines Arbeitsplatzes in der Lage, zusätzliche Wärmequellen im Kühlraum zu deponieren.

Überprüfen Sie die Kalibrierung von Manometer und Thermometer! Insbesondere, wenn die Toleranz des Manometers negativ (Meßwert weicht nach unten ab) und/oder die Toleranz des Thermometers positiv (Mess-wert weicht nach oben ab) ist, werden Sie den Moment der optimalen Füll-menge verpassen. Die wahre Überhitzung wird zwar 0K und verharrt dort bei weiterer Befüllung, aufgrund der unglücklichen Toleranzen der Messung bestimmen Sie aber weiterhin eine bestehende Überhitzung. Sie werden die Anlage weiterhin so lange be- und überfüllen, bis der Dew Point den Verdichter erreicht und dieser durch lautstarkes Nageln auf seine missliche Lage auf-merksam macht.

Füllen nach blasenfreiem Schauglas: Verfechter dieser Methode gehen davon aus, dass ein blasenfreies Schauglas Beweis einer ausreichenden dem TEV vorgelagerten Flüssigkeitsmenge ist. Genau wie die lose bulb-Methode kann das Füllen nach blasenfreiem Schauglas nur bei maximaler Wärmelast angewendet werden. Das spezielle Risiko der Überfüllung besteht hier ebenfalls! Grund kann eine geringe Flüssigkeitsunterkühlung in der Flüssigkeitsleitung bei gleichzeitig hoher Umgebungstemperatur (um die Flüssigkeitsleitung) sein.

Das führt auch bei korrekter Füllung der Anlage unweiger-lich zur Dampfblasenbildung in der Flüssigkeitsleitung und somit am Schauglas. Sie würden das Befüllen fortsetzen, ohne dass die Blasenbildung selbst bei hoffnungslos über-füllter Anlage jemals aufhört. Daher kann auch diese Methode nicht generell zur Befüllung von Kälte- und Klimaanlagen empfohlen werden.

Füllen nach Verflüssigungsdruck: Bei bekannter Auslegung der Anlage kann nach einem bestimmten Verflüssigungsdruck gefüllt werden. Als Beispiel diene hier die übliche Auslegung luftgekühlter Verflüssiger, die allerdings keinen Gesetzescharakter hat, bei einer Temperatur von 10K bis 15K über Umgebungstemperatur zu verflüssigen.

Wenn Sie also mit Sicherheit die zu erwartende Verflüssigungstemperatur durch Kenntnis von Verflüssigerauslegung und Umgebungstemperatur bestimmen können, liefert diese Methode befriedigende Resultate. Aber bedenken Sie: Ist Ihnen diese Auslegung des Verflüssigers unbekannt und jenseits der üblichen 10K bis 15K, so führt das unweigerlich zur Über- oder Unterfüllung der Anlage!

Füllen nach Verdampfungsdruck: Ist die Anlage unterfüllt, so ist der Verdampfungsdruck niedriger als erwartet und kann somit als Kriterium der Füllmenge herangezogen werden. Ist die Anlage allerdings überfüllt, wird davon der Verdampfungsdruck kaum noch beeinflusst, siehe Kapitel Überfüllte Anlage.

Durch Beobachtung von Verdampfungs- und Verflüssigungsdruck während des Füllvorgangs den Moment der korrekten Füllung zu bestimmen, dürfte aber unter Feldbedingungen kaum möglich sein. Somit ist bei TEV-Einspritzung von dieser Methode dringend abzuraten!

Füllen nach Bereifungsbild: Auch diese teilweise von Praktikern ­empfohlene Methode weist starke Einschränkungen auf. Sie kann nur bei erwarteten Verdampfungstemperaturen zwischen etwa 5°C und 10°C sowie entsprechend hoher relativer Luftfeuchte Anwendung finden. Bedenken Sie: Bei höheren Verdampfungstemperaturen oder auch bei Nichterreichen des Taupunktes findet keine Bereifung statt, und bei tieferen Verdampfungstemperaturen ver-ursacht auch überhitzter Saugdampf bei negativen Temperaturen weiterhin Bereifung der Rohre. Die nicht auszurottende Aussage, Bereifung bedeute Flüssigkeit im Rohr, ist als allgemeingültig ­energisch zurückzuweisen!

Füllen nach Stromaufnahme des Verdichters: Ist eine Kälte- oder Klimaanlage unterfüllt, leistet der Verdichter eine geringere Verdichtungsarbeit. Somit ist seine Stromaufnahme niedriger als erwartet. Bei Überfüllung steigt der Verflüssigungsdruck und somit das Druckverhältnis p C /p 0 , wodurch auch die Stromaufnahme steigt.

Letztlich aber hängen Verdichtungsarbeit und Stromaufnahme auch von allen möglichen Betriebsbedingungen und -punkten der Anlage ab, sodass diese Methode nur unter Industrie- oder Laborbedingungen ausreichend gute Ergebnisse liefert. Als Feldmethode ist auch sie daher nicht zu empfehlen.

Füllen nach Kältemittelmasse (Waage): Diese ist die einzige Füllmethode, die generell bei TEV-Anlagen mit gutem Ergebnis angewendet werden kann. Die exakt rechnerische Bestimmung der Kältemittelmenge ist allerdings relativ kompliziert, da das Kältemittel zum einen sowohl gasförmig als auch flüssig im Kreislauf auftritt, zum anderen auch unter verschiedensten, von den Betriebsbedingungen abhängigen Temperaturen. Daher variiert die Dichte extrem stark, was eine genaue Berechnung sehr aufwendig werden lässt.

Der Autor hat hierzu eine feldtaugliche Näherungsrechnung entwickelt und an zahlreichen Anlagen mit sehr guten Ergebnissen überprüft. Hierbei wird unter Vernachlässigung des Dampfes, dessen Dichte ohnehin nur rund ein Tausendstel der Flüssigkeit beträgt, sowie mit Durchschnittsdichten der Flüssigkeit gearbeitet. Weiterhin werden durchschnittliche Füllgrade der verschiedenen Komponenten des Kältemittelkreislaufs zugrunde gelegt.

Sind die Hauptkomponenten des Kreislaufs korrekt dimensioniert, kann bei mittlerer Wärmelast näherungsweise von folgenden Flüssigkeits-Füllgraden ausgegangen werden:

  • Kältemittelsammler 50%,
  • luftgekühlter Verflüssiger 60% (wassergekühlter Verflüssiger 40%),
  • luftkühlender Verdampfer 30%,
  • Flüssigkeitsleitung 100%.

Die sich ergebende Genauigkeit ist hierbei absolut feldtauglich.

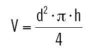
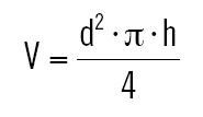
Alle erforderlichen Berechnungen fußen auf der Grundlage des Zylindervolumens, da es sich bei allen flüssigkeitsführenden Komponenten im Prinzip um Rohre handelt:


Hinweise:

d ist der Innendurchmesser von Rohrleitungen und Sammler

h ist die Höhe des Sammlers oder die Länge der Rohre

Wandeln Sie alle Längenmaße in dm um (0,1m = 1dm = 10cm = 100mm) für Ergebnisse in Litern (1l = 1dm³)

Das komplette Füllvolumen ergibt sich als Summe der zu berechnenden Teilvolumina unter Berücksichtigung der Füllgrade:


Nun lässt sich die Füllmasse leicht mithilfe der Durchschnittsdichte des flüssigen Kältemittels, z.B. bei 25°C, bestimmen:

Als Standardwerte für Sicherheitskältemittel können neben den in Datenblättern veröffentlichten Werten beispielsweise auch folgende Näherungswerte herangezogen werden:

Ein Rechenbeispiel möge abschließend die Bestimmung der Füllmenge für die R134a-Kälteanlage eines Kühlraumes veranschaulichen. Messwerte:

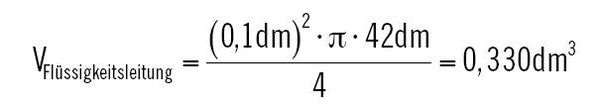
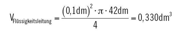
Flüssigkeitsleitung: Länge 4,2m

innen Ø 10mm

Verflüssiger: 50 Rohre, Länge jeweils 500mm

innen Ø 8,5mm

Verdampfer: 40 Rohre, Länge jeweils 400mm

innen Ø 11,5mm

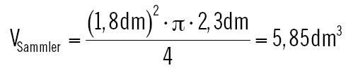
Sammler: Höhe 230mm

innen Ø 180mm

Schritt 1: Teilvolumina





Schritt 2: Gesamtvolumen unter Berücksichtigung der Füllgrade


Schritt 3: Füllmasse


Der Autor konnte seine einfache und zuverlässige Methode mittlerweile an zahlreichen Anlagen auf ihren Gebrauchs-wert hin überprüfen und verifizieren. Selbst wenn mit ihr die erreichbare Genauigkeit sie ist nach Untersuchungen des Autors weitaus genauer nur in der Größenordnung +/10% läge, würde diese Ungenauigkeit der Füllung noch mit Leichtigkeit vom Sammler gepuffert werden.

Dennoch soll die spezielle Gefahr von Berechnungsfehlern, die diese Methode beinhaltet, nicht verschwiegen werden. So ermittelte beispielsweise ein Student des Autors für oben darge-stellte Anlage eine Füllmenge von rund 550 Tonnen, ohne dassihm dieser Mißgriff aufgefallen wäre. Bei entsprechender Feld­erfahrung und einem gewissen Vorstellungsvermögen für Massen und Volumina sollte aber eine grobe Abschätzung eines ­realistischen oder unrealistischen Ergebnisses nicht allzu schwer- ­fallen.-

Norbert Ludwig,

ehemaliger Schulleiter an der Norddeutschen Kälte-Fachschule, lebt und arbeitet heute in der Nähe von Johannesburg in Südafrika

Norbert Ludwig, Johannesburg/Südafrika

Jetzt weiterlesen und profitieren.

+ KK E-Paper-Ausgabe – jeden Monat neu
+ Kostenfreien Zugang zu unserem Online-Archiv
+ Fokus KK: Sonderhefte (PDF)
+ Webinare und Veranstaltungen mit Rabatten
uvm.

Premium Mitgliedschaft

2 Monate kostenlos testen