Springe auf Hauptinhalt Springe auf Hauptmenü Springe auf SiteSearch
Effizienz von Wohnungslüftungsgeräten

Erkenntnisreich

Es werden dabei im Einzelnen die Auswirkungen des Wärmeübertrager-Materials, der Wärmeübertrager-Bauform und der Gerätegeometrie auf folgende Kenngrößen gezeigt:

  • Wärmeübertragung,
  • Stromverbrauch und
  • Gerätegeräusch.

1. Wohnungslüftungsgeräte historische Entwicklung

Wohnungslüftungsgeräte werden seit ca. 25 Jahren am Markt angeboten. In den vergangenen 13 Jahren wurde diese Gerätetechnik rasant weiterentwickelt. Heute werden solche Komfortlüftungsgeräte mehr und mehr in modernen Wohngebäuden (Ein- und Mehrfamilienhäusern und anderen Gebäuden) eingebaut.

Das Lüftungssystem besteht aus Luft­kanälen, über die das Haus mit Frischluft versorgt wird. In Küche, WC und Bad wird verbrauchte Luft (20 °C) abgesaugt Gerüche und Feuchtigkeit verschwinden. Die Wärme der Abluft wird im Wärme­rückgewinner genutzt, um damit die Außenluft zu erwärmen von 0 °C auf 18 °C. Im Erdwärme-Rohr wird selbst bei 15 °C Außentemperatur die Außenluft bis über 0 °C vorgewärmt. Im Sommerbetrieb bringt der Erdwärmeübertrager kühle Luft ins Haus.

Durch die konstante Versorgung mit Außenluft wird ein wesentlich besseres Raumklima (sauerstoffreiche Luft, Abfuhr verbrauchter Luft und Feuchte, keine Schimmelpilzgefahr usw.) erreicht als bei der Fensterlüftung. Durch die ständig steigenden Energiepreise wird das Augenmerk vermehrt auf eine Energieeinsparung durch den Wärmerückgewinnungseffekt gelenkt.

Das Herzstück solcher Geräte ist der Wärmeübertrager mit seiner Bauform steht und fällt die Effizienz bei der Abwärmenutzung. Hier wird die Wärme der warmen Abluft an die kalte Außenluft übertragen.

In der Vergangenheit wurde der Wärmeübertrager in seiner Bauform ständig weiterentwickelt.

a) Strömungsführung im Wärmeübertrager

Zunächst baute man einfache Geräte mit einem Kreuzstrom-Wärmeübertrager, bei dem die beiden Luftströme (Abluft und Außenluft) in den Platten-Zwischenräumen geführt werden ihre Richtungen kreuzen sich daher: Kreuzstrom-Wärmeübertrager (Bild 3). Die Strömungslänge ist recht kurz und damit auch die Kontaktzeit, die für die Wärmeübertragung von der Abluft an die Außenluft zur Verfügung steht.

Eine Verbesserung der Wärmeübertragung erreicht man durch den Kreuz-Gegenstromwärmeübertrager (Bild 5). Hierbei werden die beiden Luftströme in den Plattenspalten teilweise im Gegenstrom aneinander vorbeigeführt: die Strömung erfolgt über einen längeren Weg die Kontaktzeit für den Wärmeübertragungsprozess ver­größert sich.

b) Plattenprofil (Plattenstruktur) im Wärmeübertrager

Eine weitere deutliche Verbesserung bezüglich der übertragenen Wärme wurde durch eine Veränderung des Strömungsprofils erreicht: statt in Plattenspalten (Plattenwärmeübertrager) werden die beiden Luftströme in quadratischen Kanälen geführt daher: Kanal-Wärmeübertrager (Bild 7).Die Struktur ist so ausgebildet, dass beide Luftströme hermetisch voneinander getrennt sind (Bild 8). Damit verdoppelt sich die Wärmeübertragungsfläche gegenüber den Plattenübertragern. Üblicherweise wird dieser Wärmeübertrager in einer längs gestreckten Form gebaut. Bei diesem Typ vergrößert sich die Strömungslänge, wodurch auch die Wärmeübertragungszeit erhöht wird der Gegenstrombereich überwiegt, woraus sich die Bezeichnung Gegenstrom-Wärmeübertrager ableitet. Dieser Wärmeübertragertyp wird seit 18 Jahren gebaut.

2. Bauform und Effizienz von Wärmeübertragern

Die Bauform des Wärmeübertragers ist entscheidend für die Effizienz bei der Wärmerückgewinnung: je mehr Wärme aus der Abluft an die Außenluft übertragen wird, umso höher ist der Wärmerückgewinnungsgrad. Dieser Wirkungsgrad wird außerdem noch von der Fläche, die die beiden Luftströme im Wärmeübertrager trennen, beeinflusst.

a) Wärmeübertrager-Geometrie: Längenverhältnis Kreuz- / Gegenstrombereich

Die äußeren Bauformen unterscheiden sich hinsichtlich der Länge des Gegenstrom-Bereiches l (Bild 10). Beim Kreuz-Gegenstrom-Wärmeübertrager (WÜ) sind wie es die Bezeichnung schon ausdrückt beide Durchströmformen geometrisch nahezu gleichberechtigt vertreten:

Kreuzstrom → an den Spitzen

Gegenstrom → im Mittelteil

Beim reinen Gegenströmer hingegen dominiert der Gegenstromanteil, wenn

ist. Damit wird auch die Wärmeübertragerfläche vergrößert. Mit einer solchen Bauform in Verbindung mit einem Kanalwärmeübertrager werden die höchsten Wirkungsgrade erreicht.

Eine weitere Möglichkeit zur Erhöhung der Wärmeübertragungsfläche (auch im Gegenstrombereich) ist eine Vergrößerung der Bautiefe (Bild 7) des Wärmeübertragers.

b) Strömungsprofil

Üblicherweise werden Plattenwärmeübertrager verwendet (Bild 11). Hierbei erfolgt der Wärmefluss in zwei Richtungen. Bei dem neuartigen Kanalwärmeübertrager (Patent Fa. Paul) strömt die Luft in quadratischen Kanälen durch den Wärmeübertrager, dessen Querschnitt einem Schachbrett ähnelt. Dieses Kanalstrom-Prinzip ermöglicht eine Wärmeübertragung nach vier statt bisher zwei Seiten, wodurch das Gerät weitaus effektiver arbeitet als herkömmliche Plattenwärmeübertrager (Bild 11). Damit wird die Wärmeübertragungsfläche pro Raum verdoppelt.

c) Wärmeübertragungs-Dichte

Die Wärmeübertragungsdichte f gibt an, wie viel Wärmeübertragungsfläche F in einem bestimmten Wärmeübertrager-Rauminhalt V untergebracht ist. Je dichter die Wärmeübertrager-Struktur ist (Bild 11), umso mehr Fläche lässt sich unterbringen. Hieraus resultiert wiederum ein höherer Wärme-rückgewinnungsgrad.

Wärmeübertragungs-Dichte


A Wärmeübertragungsfläche

V Rauminhalt des Wärmeübertragers (Korpus)

3. Materialarten in Wärmeübertragern

In Standardgeräten sind häufig Metall-WÜ eingesetzt: Aluminium, Stahl. Dies hat den Hintergrund, dass die Wärmeleitzahl λ bei Metallen (z. B. Aluminium) deutlich höher liegt als z. B. bei Kunststoffen.

Wärmeleitzahlen λ verschiedener Wärmeübertrager-Materialien:

λ = 221 W/mK Aluminium (Al)

λ = 0,17 W/mK Polystyrol (PS)

λ = 0,17 W/mK Polyvinylchlorid (PVC)

λ = 0,22 W/mK Polypropylen (PP)

In der Kältetechnik wird Wärme häufig zwischen gasförmigen und flüssigen Medien übertragen (Verdampfer und Kondensatoren in Wärmepumpen). Für solche Zwecke werden häufig Rippenrohrwärmeübertrager/Lamellenwärmeübertrager) eingesetzt, bei denen die Wärmeleitzahl λ in der Rippe/Lamelle von Bedeutung ist.

Bei Luft-Luft-Wärmeübertragern ist aber für den Luft-Luft-Wärmetransport die Wärmeübergangszahl h auf der warmen und kalten Luftseite entscheidend. Beide Kennzahlen (λ, h) sind in der Wärmedurchgangszahl U zusammengefasst. Da α > h erklärt sich, dass bei Luft-Luft-Wärmeübertragern die Materialart (.lamda )nur eine untergeordnete Rolle spielt! Bei zwei bauartgleichen Plattenwärmeübertragern aus Kunststoff (PS) und Aluminium (Al) ergeben sich nur geringfügige Unterschiede hinsichtlich der Wärmedurchgangszahl U (Tabelle 2).

Aus der Gleichung für die Berechnung der übertragenen Wärme Φ soll dieses Phänomen hergeleitet werden:


Berechnet bei einem Kanal-WÜ:

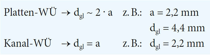
Auswirkung Aluminium (Al)- oder Kunststoff (Polystyrol PS)-Material auf die Wärme­durchgangszahl U am Beispiel eines Kanalwärmeübertragers, Kanalmaß a = 2,2 mm



Materialart: fast kein Unterschied in der U-Zahl erkennbar!

Wärmeübertrager aus Luft-/Luft-Wärmeübertrager

Will man bei Luft-Luft-Wärmeübertragern die Leistung steigern, muss nicht die Materialart optimiert, sondern die Wärmeübertragungsfläche vergrößert werden. Dies kann durch den o. g. Kanalwärmeübertrager erreicht werden: Verdopplung der Wärmeübertragungsfläche gegenüber Plattenwärmeübertragern bei sonst gleichen Geometrien (Bild 11).

Bei Veränderung der Strömungsform ändern sich gleichzeitig drei Kennzahlen:

(1) der gleichwertige Durchmesser d gl


A [mm 2 ] Strömungsquerschnittsfläche von einem Strömungsprofil

U [mm] Umfang jeweils vom Strömungsprofil


a [mm] Höhe des Plattenspaltes im Platten-Wärmeübertrager, oder: Kantenlänge des Quadrat-Profiles beim Kanal-Wärmeübertrager

d gl [mm] gleichwertiger Durchmesser

h [W/m 2 K] Wärmeübergangszahl

λ [W/mK] Wärmeleitzahl

Nu [-] Nußeltzahl

und damit

(3) die U-Zahl (siehe Tabelle 2 auf Seite 52)

Hieraus kann man ableiten, dass bei einem intelligenten Strömungsprofil (z. B. der quadratische Kanal beim Paul-Wärmeübertrager) die Wärmedurchgangszahl U und die WÜ-Übertragungsfläche A vergrößert werden. Folglich wird die Effizienz (Wärmerückgewinnungsgrad) merklich erhöht.

Δθ 1 = θ Zu θ Ab

Δθ 2 = θ Fo θ Au

θ Zu Zulufttemperatur

θ Ab Ablufttemperatur

θ Fo Fortlufttemperatur

θ Au Außenlufttemperatur

4. Korpusgröße von Wärmeübertragern und Lüftungsgeräten

Wenn die Wärmeübertragungsfläche in Luft-Luft-Wärmeübertragern so enorme Bedeutung hat, liegt der Gedanke nahe, neben der Wärmeübertragungs-Dichte f (s. Pkt. 2c) auch den Wärmeübertrager als Korpus geometrisch zu vergrößern. Damit steigt die Wärmeübertragungsfläche F, aber auch (meist) die gesamte freie Strömungsquerschnittsfläche A/2. Hierbei sinkt die Strömungsgeschwindigkeit w, der Druckverlust Δp wird geringer und die elektrische Leistungsaufnahme P el am Ventilator sinkt!

w [m/s] Strömungsgeschwindigkeit der Luft im Wärmeübertrager

V [m³/h] Luftvolumenstrom eines Mediums

A/2 [m 2 ] freie Strömungsquerschnitts­fläche eines Mediums

Bei einer Recherche von marktgängigen Wärmerückgewinnungsgeräten für jeweils vergleichbare Einsatzbereiche (Volumenstrombereiche) bestätigt sich dieser Zusammenhang nicht nur hinsichtlich der Korpusgröße des Wärmeübertragers (WÜ), sondern auch des gesamten Geräte-Volumens.

Bemerkungen zu Tabelle 4:

(1) Gegenstrom-Kanal-WÜ Gerätetyp novus 300 (Nr. 1) bzw. santos 370 DC (Nr. 5) von der Paul Wärmerückgewinnung GmbH alle anderen Typen sind marktgängige Geräte verschiedener Hersteller mit Kreuzgegenstrom-Platten-WÜ

(2) η eff abluftseitig ermittelter effektiver Wärmebereitstellungsgrad

(3) bei 150 m³/h und 100 Pa ext. Pressung

(4) für feuchte Abluft

(5) in 1,5 m Entfernung

(6) bei 200 m³/h

5. Wärmeübertragungsfläche und Wärmebereitstellungsgrad

Aus der bekannten Gleichung zur Errechnung der übertragenden Wärmeleistung:

lässt sich ableiten, dass die vergrößerte Fläche A eine höhere Wärmeübertragungsleistung ΔΦ nach sich zieht, selbst wenn sich Δθ m (mittlere Temperaturdifferenz zwischen kaltem und warmem Luftstrom) etwas verkleinert. Daraus resultiert dann auch der erhöhte effektive Wärmebereitstellungsgrad η eff bei größerer Wärmeübertragungsfläche A! Bild 17 zeigt, wie bei sieben marktgängigen Wärmerückgewinnungsgeräten bei größer werdender Wärmeübertragungsfläche der effektive Wärmebereitstellungsgrad η eff steigt.

6. Stromverbrauch und Gerätevolumen

Wie aus Tabelle 4 hervorgeht, sind die sieben Gerätetypen nahezu für den gleichen Einsatzbereich (Volumenstrom 50 bis 300 m³/h) bestimmt. Wenn sich der gleiche Volumenstrom durch einen kleineren Wärmeübertrager (WÜ-Volumen niedrig) bzw. durch ein kleines Gerätevolumen hindurchzwängt, entsteht eine höhere Luftgeschwindigkeit w, was wiederum zu einem ansteigenden Druckverlust und Stromverbrauch (elektrische Leistungsaufnahme P el ) führt (Bild 18 und 19).

7. Schalldruckpegel und Gerätevolumen

Das kleinere Geräte- bzw. Wärme­übertrager (WÜ)-Volumen führt, wie oben erwähnt, zu einer größeren Luftgeschwindigkeit und damit auch zu erhöhter Turbulenzbildung, welche eine höhere Geräuschentwicklung nach sich zieht (Bild 20 und 21).

Zusammenfassung

Wärmerückgewinnungsgeräte für Wohnungslüftung weisen deutliche Unterschiede hinsichtlich ihres Wärmerückgewinnungsgrades auf. Dies hängt so gut wie überhaupt nicht von der Materialart und der Wärmeleitzahl λ des Wärmeübertragungs-Materials (Aluminium oder Kunststoff) ab viel mehr hat der luftseitige Wärmeübergang h den gewichtigen Einfluss auf den Wärmedurchgang U. Da aber der luftseitige Wärmeübergang über die Stellschraube: Luftgeschwindigkeit kaum erhöht werden kann (weil mit der Strömungsgeschwindigkeit der Ventilator-Stromverbrauch und die Geräte-Geräusche steigen), ist die wesentliche Größe die Wärmeübertragungsfläche, die die Wärmerückgewinnungseffizienz deutlich beeinflusst.

Die Untersuchung an sieben marktgängigen Gerätetypen zeigt, dass eine vergrößerte Wärmeübertrager-Fläche deutlich den Wirkungsgrad η eff verbessert. Aber auch das größere WÜ-Volumen (Korpusgröße) und das größere (gesamte) Gerätevolumen wirken sich positiv auf den Stromverbrauch (Ventilatoren) und das Gerätegeräusch aus beide Werte sinken bei größeren Wärmeübertragern bzw. größeren Geräten. -

Dipl.-Ing. Eberhard Paul

Paul Wärmerückgewinnung GmbH, Reinsdorf

Eberhard Paul, Reinsdorf

Jetzt weiterlesen und profitieren.

+ KK E-Paper-Ausgabe – jeden Monat neu
+ Kostenfreien Zugang zu unserem Online-Archiv
+ Fokus KK: Sonderhefte (PDF)
+ Webinare und Veranstaltungen mit Rabatten
uvm.

Premium Mitgliedschaft

2 Monate kostenlos testen