Springe auf Hauptinhalt Springe auf Hauptmenü Springe auf SiteSearch
Einsatz von Frequenzumrichtern für BITZER-Verdichter

Einfach und sicher

Bedingt durch die gestiegene Komplexität solcher Systemlösungen erfordert dies jedoch eine sehr spezifische Anwendungsberatung zur optimalen Auslegung der Frequenzumrichter und zu deren Konfiguration bis hin zur Fehlersuche bei Störungen. Um diese Punkte zu entschärfen, hat sich Bitzer entschieden, eine eigene Baureihe von Frequenzumrichtern zu entwickeln, speziell für die Kältetechnik, speziell für Bitzer-Verdichter. Damit stehen nun für alle halbhermetischen Hubkolbenverdichter passende und optimierte Frequenzumrichter zur Verfügung, im Speziellen für Leistungsgrößen und Anwendungen, für die kein Varispeed-Verdichter verfügbar ist. Bei den Varispeed-Verdichtern handelt es sich um Hubkolbenverdichter mit einem integrierten, sauggasgekühlten Frequenzumrichter, welche nach wie vor die kompakteste und am einfachsten zu installierende Frequenzumrichterlösung darstellen. Diese Baureihe bietet Bitzer seit mittlerweile acht Jahren an.

Auslegung

Ausgangsbasis

Um Anwendern bei der richtigen Auslegung von Frequenzumrichtern für Hubkolbenverdichter zu unterstützen, hat Bitzer vor ca. zehn Jahren die erforderlichen Auslegungskriterien in der Technischen Information KT-420-1 Einsatz von Frequenzumrichtern bei Hubkolbenverdichtern“ [1]dokumentiert. Bei Hubkolbenverdichtern stellt besonders der sichere Anlauf unter allen Betriebsbedingungen eine Herausforderung dar. Deshalb muss die in Abhängigkeit von der Zylinderanzahl des Verdichters erforderliche Überlastfähigkeit des Frequenzumrichters besonders beachtet werden. Nachdem nun nach mehr als zehn Jahren Erfahrung nur verhältnismäßig wenige Probleme aufgetreten sind, können die darin genannten Richtwerte und Faustformeln als bewährt betrachtet werden.

Neuer Ansatz mit Varipack

Mit der Entwicklung der Varipack-Baureihe (Bild 1) wurde dieses Auslegungskonzept weiterentwickelt. Die Kombination aus:

1. Optimierung des Verdichteranlaufs,

2. Testen unterschiedlicher Verdichter-Motor-Kältemittel-Frequenzumrichter-Kombinationen bei verschiedenen Betriebsbedingungen,

3. Implementierung aller Versuchs-, Frequenzumrichter- und Motordaten in die Bitzer-Software [2] sowie

4. Einsatz einer Frequenzlimitierungsfunktion im Frequenzumrichter

erlaubt es nun, anwendungsspezifisch den jeweils kleinstmöglichen, damit kosteneffektivsten und dennoch betriebssicheren Varipack-Frequenzumrichter auszuwählen. Und nun im Detail.

1. Optimierung des Verdichteranlaufs: Für die Optimierung des Verdichteranlaufs wurden verschiedene Maßnahmen getroffen. Zum einen wurde die üblicherweise zeitabhängige Überlastfähigkeit des Frequenzumrichters auf die für den Anlauf erforderliche Zeit angepasst, sodass für dieses Zeitintervall die Überlastfähigkeit maximiert wurde. Des Weiteren wurden unterschiedliche Prinzipien zur Motoransteuerung untersucht und das für den Start am besten geeignete hinsichtlich Parametrierung noch zusätzlich optimiert.

2. Testen unterschiedlicher Verdichter-Motor-Kältemittel-Frequenzumrichterkombinationen bei verschiedenen Be-triebsbedingungen: Nach der Optimierung des Anlaufverfahrens des Frequenzumrichters wurden die maximal möglichen Startbedingungen für verschiedene Verdichter-Motor-Kältemittel-Frequenzumrichter-Kombinationen durch reale Tests ermittelt. Interessant hierbei war unter anderem, dass bei Umrichterbetrieb und Standard“-Kältemitteln der erforderliche Anlaufstrom üblicherweise mit höherer Verdampfungs- und Verflüssigungstemperatur zunimmt, hingegen bei CO 2 -Anwendungen das aktuelle Druckverhältnis bzw. die beim Start anstehende Druckdifferenz des Kältemittels dominiert. In anderen Worten, bei CO 2 -Verdichtern wird der Verdichteranlauf mit geringerer Verdampfungstemperatur und insbesondere höheren Verflüssigungstemperaturen bzw. Hochdrücken schwieriger. Bildlich ist dies in Bild 2 dargestellt. Außerdem konnte festgestellt werden, dass mit 2-Zylinder-Verdichtern und CO 2 eine deutlich höhere Überlastfähigkeit als in der KT-420-1“ [1] dokumentiert, erforderlich ist. Dies gilt für den Fall, wenn über den gesamten Einsatzbereich des Verdichters ein sicherer Anlauf gewährleistet werden soll. In der KT-420-1“ werden bis dato nur Anwendungen mit Standard“-Kältemitteln behandelt, CO 2 -Verdichter sind noch nicht berücksichtigt. Auf Basis der Erfahrungen kann empfohlen werden, für 2-Zylinder-CO 2 -Verdichter die Frequenzumrichter so auszulegen, dass diese kurzzeitig, also für mindestens 3 s, das 3-Fache des maximalen Betriebsstroms des Verdichters aufbringen können.

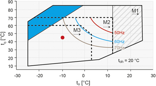
3. Implementierung aller Versuchs-, Frequenzumrichter- und Motordaten in die Bitzer-Software [2]: Auf Basis des jeweils gewählten Verdichters, Motorcodes, Kältemittels und der Betriebsbedingung wählt die Bitzer-Software unter Beachtung der hinterlegten Limitierungen den jeweils kleinstmöglichen Frequenzumrichter aus. Darüber hinaus wird der Frequenzumrichter so ausgewählt, dass der Verdichter an dem eingegebenen Betriebspunkt mit der maximal möglichen Frequenz betrieben werden kann. Die maximal mögliche Frequenz wird bestimmt durch den freigegebenen Frequenzbereich des jeweiligen Verdichters sowie die an diesem Betriebspunkt vorhandene Motorreserve. Wird der Verdichter in der Feldschwächung (oberhalb der Netzfrequenz) betrieben, bestimmt die Bitzer-Software zudem auf Basis des sog. Motorersatzschaltbildes die resultierenden Frequenzlimits für 50, 60 und 70 Hz und visualisiert diese im Einsatzgrenzdiagramm des Verdichters. Unterhalb der Einsatzgrenze wird zudem der Hinweis gegeben, ob die Frequenzlimits durch den Frequenzumrichter oder den Verdichtermotor verursacht werden. Ist die Einsatzgrenze für die auszulegende Anwendung zu sehr eingeschränkt, ist somit gleich ersichtlich, ob die Frequenzgrenzen durch einen größeren Frequenzumrichter oder durch eine stärkere Motorversion des Verdichters bzw. die Verwendung eines Sondermotors erweitert werden können. Eine solche auf Basis der Auslegungsdaten dynamisch erstellte Einsatzgrenze ist in Bild 3 beispielhaft dargestellt.

4. Einsatz einer Frequenzlimitierungsfunktion im Frequenzumrichter: Um trotz der potenziell knappen Dimensionierung der Frequenzumrichter eine maximal mögliche Betriebssicherheit zu gewährleisten, wurde eine lastabhängige Frequenzlimitierungsfunktion im Frequenzumrichter implementiert. Wird der Umrichter in der Feldschwächung betrieben, reduziert er automatisch seine maximale Frequenz, falls der aktuelle Motorstrom den maximal möglichen Ausgangsstrom des Frequenzumrichters oder den maximalen Betriebsstrom des Verdichters erreicht. Dies erweitert nicht nur den Einsatzbereich, in dem der Verdichter zuverlässig betrieben werden kann, sondern reduziert auch das Risiko einer Motor-überlastung und damit einer Abschaltung durch das Motorschutzgerät. Bezogen auf das in Bild 3 dargestellte Einsatzgrenzdiagramm, kann die Verdichter-Frequenzumrichter-Kombination somit zuverlässig bis zur dargestellten 50-Hz-Linie betrieben werden. Erläutert an diesem Beispiel, kann der Verdichter am Auslegungspunkt –10 °C Verdampfung und 45 °C Verflüssigung über den gesamten Frequenzbereich von 25 bis 70 Hz betrieben werden. Treten im realen Betrieb deutlich höhere Verdampfungstemperaturen auf, z. B. nach einer Abtauung, und der Betriebspunkt des Verdichters läuft vom Auslegungspunkt –10 °C auf Werte ober-halb 0 °C, reduziert der Frequenzumrichter lediglich seine maximale Frequenz auf beispielsweise 60 Hz. Fällt die Verdampfungstemperatur anschließend auf unter –5 °C, wird die maximal mögliche Frequenz wiederum stufenlos auf 70 Hz erhöht. Außerdem berücksichtigt die Frequenzlimitierungsfunktion auch noch die aktuelle Netz- bzw. Zwischenkreisspannung und erhöht damit die Verfügbarkeit des Verdichters bei eventueller Unterspannung.

Konfiguration

Wie bei der Auslegung des Frequenzumrichters war auch bei der Konfiguration das Ziel, diese für den Kälteanlagenbauer so einfach wie möglich zu gestalten. Schlussendlich konnte dies durch die Erstellung von Verdichter-, Kältemittel- und Motordatenbanken realisiert werden. Um den Frequenzumrichter für den jeweiligen Verdichtertyp zu konfigurieren und in Betrieb nehmen zu können, ist lediglich ein Parameter, der Verdichtertyp (inkl. Angabe des Motorcodes) erforderlich. Diese Informationen können u. a. vom Typschild des Verdichters abgelesen werden. Der Wizard zur Auswahl und damit die Konfiguration des Verdichters über die BEST Software [3] ist aus Bild 4 ersichtlich. Aber auch per Display kann der Frequenzumrichter durch Auswahl des Verdichtertyps aus einer Liste konfiguriert werden. In diesem Fall werden alle resultierenden Konfigurationsparameter von der SD-Karte geladen.

Inbetriebnahme

Nicht nur bei der Konfiguration stellt die BEST Software die komfortabelste Lösung dar, auch bei der Inbetriebnahme bietet sie vielfältige Möglichkeiten. So lassen sich die Betriebsparameter wie Frequenz, Leistungsaufnahme sowie Verdampfungs- und Verflüssigungstemperatur (bei Verwendung des Erweiterungsbausatzes zur Druckregelung) auch in grafischer Form darstellen (Bild 5) . Oftmals wird erst durch die grafische Visualisierung ein unstabiles Betriebsverhalten des Systems ersichtlich und ermöglicht damit dessen Optimierung. Dies erhöht meist nicht nur die Betriebssicherheit und Lebensdauer des Systems, sondern wirkt sich auch positiv auf die Energieeffizienz und die Qualität der zu kühlenden Produkte aus. Statt wie üblich die Betriebsbedingungen bei der Inbetriebnahme manuell zu dokumentieren, lassen sich alle Daten mit einem Klick in einer BEST Datei (.bpd) speichern. In der BEST Datei wird dann neben der Konfiguration des Geräts, den Alarmen und sonstigen Informationen auch ein sog. Livelog gespeichert. Darüber hinaus ist diese Livelogging-Funktionalität auch für die Fehlersuche hilfreich und erübrigt häufig die zusätzliche Installation einer Messwerterfassung.

Zusatzfunktionen

Systemregelung

Neben der Möglichkeit, den Frequenzumrichter mittels eines externen Sollwertsignals (0 ... 10 V oder 4 ... 20 mA) anzusteuern, kann der Varipack-Frequenzumrichter auch die Regelung des Systems übernehmen. Für diese Aufgabe ist der Erweiterungsbausatz zur Druckregelung erforderlich, in dem neben einem kleinen Aufsteckmodul ein Nieder- und Hochdruckmessumformer sowie die passenden Verbindungskabel enthalten sind.

Ist das Erweiterungsmodul montiert, erkennt dies der Frequenzumrichter automatisch, schaltet dabei den Betriebsmodus auf Systemregelung um und die zusätzlich erforderlichen Parameter frei. Durch Anpassung der Verdichterfrequenz regelt der Varipack nun auf die konfigurierte Verdampfungstemperatur, kann durch ein 0 ... 10 V-Signal einen oder mehrere EC-Lüfter zur Verflüssigungstemperatur-Regelung ansteuern und über ein Relais einen weiteren Verdichter zuschalten. Bei Erreichen des Pump-Down-Limits schaltet der Frequenzumrichter den Verdichter selbstständig ab und bei Überschreiten des Verdampfungstemperatur-Sollwerts wieder ein. Durch die integrierte Niederdruckabsicherung kann zudem auf die Installation eines mechanischen Niederdruckwächters verzichtet werden. Eine Hochdruckwächter-Funktion ist zwar ebenfalls implementiert, jedoch kann diese nur zusätzlich verwendet werden und ersetzt nicht den mechanischen baumustergeprüften Hochdruckwächter, der von der EN 378 gefordert wird.

Kälteanlagen- und Verdichterfunktionen

Abgesehen von der Möglichkeit, die Systemregelung zu übernehmen, wurden weitere Funktionen im Varipack vorgesehen, die die Betriebssicherheit erhöhen und den Einsatz zusätzlicher Komponenten erübrigen:

Start-zu-Start-Intervall

Wurde bislang eine maximale Anzahl an Verdichterstarts und eine Mindestlauf- zeit in Abhängkeit von der Motorleistung definiert [4] , führt der sanfte Anlauf des Verdichters durch einen Frequenzumrichter zu keiner übermäßigen Erwärmung des Motors. Insbesondere die definierte Anzahl an maximalen Verdichterstarts spielt seitens des Verdichters somit keine gewichtige Rolle mehr. Dennoch sollten eine hohe Schalthäufigkeit und kurze Laufzyklen des Verdichters vermieden werden, um eine ausreichende Schmierung der Triebwerksteile zu gewährleisten und ein gutes Betriebsverhalten sowie hohe Effizienz der Anlage zu erzielen. Um diesen Anforderungen besser gerecht zu werden, wurde ein Start-zu-Start-Intervall programmiert. Bei der Standardeinstellung von 300 s ermöglicht dies, z. B. nach einer Verdichterlaufzeit von 300 s, den Verdichter sofort wieder zu starten. War die Laufzeit jedoch nur 200 s, verzögert die Umrichtersteuerung den Verdichterstart um 100 s, falls sofort wieder ein Startbefehl erteilt wird. Spielt die Verfügbarkeit wie bei Kaskaden- und Boosteranlagen eine übergeordnete Rolle, kann das Start-zu-Start-Intervall bei Bedarf heruntergesetzt werden. Allerdings ist bei solchen hinsichtlich Systemdynamik sensiblen Anlagen bereits bei der Planung darauf zu achten, dass ein hoher Performance Factor“ [5] erreicht wird.

Betriebsrampen

Auch die in der Umrichtersteuerung integrierten Betriebsrampen dienen zur Verbesserung des Betriebsverhaltens. Während die Rampen für den Start und Stopp des Verdichters, also unterhalb der minimalen Frequenz, für den Verdichterstart optimiert und fest eingestellt sind, können die Rampen zwischen der minimalen und maximalen Frequenz vom Anwender auf die Bedürfnisse des Systems eingestellt werden. Entgegen der üblichen Empfindung sind jedoch in den meisten Fällen langsame Rampen von Vorteil und führen zu einem stabileren Betriebsverhalten.

Echtzeituhr

Für eine zielgerichtete Fehlersuche sind die Varipack-Frequenzumrichter mit einer Echtzeituhr ausgestattet. Zu jeder Störung wird der zugehörige Zeitstempel registriert. Somit ist gleich ersichtlich, ob die Störung bereits vor längerer Zeit aufgetreten ist und damit ignoriert werden kann oder nur wenige Zeit zurückliegt. Auch Fehlermuster, z. B. wenn eine Störung immer zur Mittagszeit oder am Wochenende auftritt, lassen sich durch den Zeitstempel sofort erkennen. Sind diese Informationen zur Findung der Fehlerursache noch nicht ausreichend, kann wiederum die BEST Software angeschlossen werden, um mittels der Livelogging-Funktion alle Betriebsparameter hochauflösend aufzuzeichnen und zu visualisieren.

STO

Weitere Einsparmöglichkeiten auf der Systemseite bietet die integrierte STO-Funktion (STO = Safe Torque Off; sicher abgeschaltetes Moment). Diese erlaubt es, auf das Sicherheitsschütz vor oder nach dem Frequenzumrichter zu verzichten. Die Sicherheitskette (einschl. des Hochdruckwächters) kann direkt auf den STO-Eingang des Frequenzumrichters wirken. Durch die STO-Funktion kann nicht nur das Schütz eingespart werden, auch die Installation und Schaltplanlogik wird dadurch vereinfacht.

Bei Ausführung mit Sicherheitsschütz wird generell empfohlen, die Sicherheitskette in sicherheitsrelevante und nicht sicherheitsrelevante Komponenten zu unterteilen. Um dabei den Frequenzumrichter so lange wie möglich unter Spannung zu halten und unnötige Einschaltungen sowie den Ausfall der Modbus-Kommunikation zu vermeiden, sollten dann aber nur sicherheitsrelevante Schutzgeräte wie der Hochdruckwächter das Schütz ausschalten. Andere Geräte, wie Geräte zur Überwachung der Ölversorgung oder Niederdruckwächter, sollten lediglich die Freigabe des Frequenzumrichters mittels eines Digitaleingangs deaktivieren.

Mit Verfügbarkeit der STO-Funktion kann nun die komplette Sicherheitskette auf den STO-Eingang wirken, das Schütz eingespart, die Verdrahtung und Schaltplanlogik vereinfacht und potenzielle Probleme vermieden werden.

Fazit

Der Hauptfokus bei der Entwicklung der Varipack-Baureihe lag darin, den Einsatz von Frequenzumrichtern für Bitzer-Verdichter für den Anwender möglichst einfach zu machen. Dies wird ermöglicht durch die be- queme und schnelle Auslegung des passenden Frequenzumrichters mit der Bitzer-Software sowie die einfache Konfiguration mittels BEST Software oder alternativ über das Display. In beiden Fällen sind lediglich der Verdichtertyp und der Motorcode auszuwählen, um den Frequenzumrichter vollständig und optimal für den jeweiligen Verdichtertyp zu konfigurieren. Um darüber hinaus Mehrwert zu generieren, kann der Varipack mit einem optionalen Erweiterungsmodul ausgerüstet werden und somit die Regelung von einfachen Systemen übernehmen. Für die Regelung von Verflüssigungssätzen bietet sich diese Möglichkeit besonders an, da neben der direkten Verdampfungstemperatur-Regelung der Frequenzumrichter auch die EC-Lüfter ansteuern und damit die Verflüssigungstemperatur regeln kann.

Dipl.-Ing. (BA) Tobias Hieble,

Elektronik-Anwendungstechnik, Bitzer Kühlmaschinenbau GmbH, Rottenburg-Ergenzingen

Jürgen Nill B. Eng.,

Elektronik-Anwendungstechnik, Bitzer Kühlmaschinenbau GmbH, Rottenburg-Ergenzingen

Fußnoten

Referenzen

[1] Bitzer Kühlmaschinenbau GmbH: Technische Information KT-420-1, www.bitzer.de/shared_media/documentation/kt-420-1.pdf

[2] Bitzer Kühlmaschinenbau GmbH: Online-Version der Bitzer-Software, www.bitzer.de/websoftware/

[3] Bitzer Kühlmaschinenbau GmbH: Download BEST Software, www.bitzer.de/at/de/service/software/software/versionen-best.jsp

[4] Bitzer Kühlmaschinenbau GmbH: Technische Information KB-104-6, www.bitzer.de/shared_media/documentation/kb-104-6.pdf

[5] ASERCOM: Leitlinie für die Auslegung von Verbundsätzen mit frequenzgeregelten Verdichtern http://asercom.org/guides

Jetzt weiterlesen und profitieren.

+ KK E-Paper-Ausgabe – jeden Monat neu
+ Kostenfreien Zugang zu unserem Online-Archiv
+ Fokus KK: Sonderhefte (PDF)
+ Webinare und Veranstaltungen mit Rabatten
uvm.

Premium Mitgliedschaft

2 Monate kostenlos testen