Springe auf Hauptinhalt Springe auf Hauptmenü Springe auf SiteSearch

Das sollten Sie wissen …

Personensicherheit

Belüftung von Maschinenräumen

Frage  Ich habe eine Frage bezüglich der Lüftung in Maschinenräumen. Wie kann ich die für den Personenschutz notwendige Lüftung berechnen?

Antwort  Zur Beantwortung Ihrer Frage sollte zunächst der Begriff Maschinenraum“ gemäß DIN EN 378 Teil 1 näher definiert werden.

Maschinenraum (Aufstellungsort)

Vollständig umschlossener Raum oder Gehäuse, der nur befugten Personen zugänglich ist und zur Aufstellung von Teilen der Kälteanlage oder der gesamten Kälteanlage dient. Ein Maschinenraum darf weitere Bauteile enthalten, sofern die Anforderungen an die Aufstellung mit den Anforderungen an die Sicherheit der Kälteanlage kompatibel sind.

In Teil 3 der DIN EN 378 geht es um den Aufstellungsort und den Schutz von Personen“. Hier werden die Bedingungen genannt, die ein Maschinenraum erfüllen soll. Des Weiteren geht es auch um die Belüftung der Maschinenräume im Normalfall bzw. in Notfallsituationen.

Für Maschinenräume, in denen Kälteanlagen untergebracht sind, gelten die folgenden Grundsätze:

a)Maschinenräume dürfen für die Unterbringung von kältetechnischen Komponenten der Kälteanlage benutzt werden, sie müssen jedoch nicht ausschließlich dazu dienen;

b)Kältemittelgas, das aus Maschinenräumen entweicht, darf nicht in benach-barte Räume, Treppenaufgänge, Höfe, Gänge oder Entwässerungssysteme des Gebäudes gelangen und muss gefahrlos abgeführt werden;

c)im Falle einer Gefahr muss der Maschinenraum unverzüglich verlassen werden können;

d)die Luftzufuhr zu Verbrennungsmaschinen, Heizkesseln oder Drucklufterzeugern muss von einer Stelle kommen, an der kein Kältemittelgas vorhanden ist. Falls derartige Einrichtungen in einem besonderen Maschinenraum aufgestellt werden, muss die Luft von außerhalb des Raumes zugeführt werden;

e)brennbare Materialien, ausgenommen Kältemittel und Öl für Wartungsarbeiten, dürfen in Maschinenräumen nicht gelagert werden;

f)zum Abschalten der Kälteanlage ist außerhalb des Maschinenraums und in der Nähe seiner Tür eine Fernabschaltung vorzusehen;

g)es ist eine mechanische Lüftung vorzusehen. Eine mechanische Lüftung ist mit einer unabhängigen Notsteuerung außerhalb des Maschinenraums und in der Nähe seiner Tür auszurüsten;

h)nach außen führende Öffnungen dürfen sich nicht unter Flucht- und Rettungstreppen befinden;

i)alle Rohrleitungen und Kanäle, die durch Wände, Decken und Böden von Maschinenräumen führen, müssen dicht sein;

j)geeignete Feuerlöschausrüstungen müssen vorhanden sein;

k)Alarmeinrichtungen und Detektoren nach den Anforderungen in den Abschnit-ten 7 und 8 müssen vorhanden sein.

Nun zurück zu der von Ihnen gestellten Frage bezüglich der Lüftung von Maschinenräumen. Die Norm stellt folgende Anforderungen an die Lüftung: Die Belüftung von Maschinenräumen muss sowohl für die üblichen Betriebsbedingungen als auch für Notfallsituationen ausreichend sein. Maschinenräume sind bei einer Freisetzung von Kältemittel durch Leckage oder Bruch von Bauteilen durch eine mechanische Lüftung außerhalb des Gebäudes zu entlüften. Dieses Lüftungssystem muss von jedem anderen Lüftungssystem am Aufstellungsort unabhängig sein. Es sind Vorkehrungen für eine ausreichende Zuleitung von frischer Außenluft und eine gleichmäßige Verteilung dieser Luft innerhalb des besonderen Maschinenraums zu treffen, um tote Zonen zu vermeiden. Öffnungen zur Außenluft sind so anzuordnen, dass kein erneuter Umlauf in den Raum erfolgt.

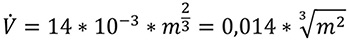
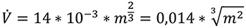
Der Luftstrom der mechanischen (Not-)Lüftung muss mindestens dem mit folgender Formel errechneten Wert entsprechen:

Dabei ist:

Vder Luftstrom [m3/s]

mdie Masse der Kältemittel-Füllmenge (in kg), in der Kälteanlage mit der größten Füllmenge, die sich mit irgendeinem Teil im Maschinenraum befindet

14 * 10-3ein Umrechnungsfaktor

Für die Belüftung des Maschinenraumes in einer Notfallsituation berechnet sich die Mindestanforderung nach der oben genannten Formel.

In vielen Fällen muss aber auch für die Abführung der Abwärme eine Belüftung des Maschinenraumes vorgesehen werden. Der dafür erforderliche Luftvolumenstrom ist häufig größer als der für Notfallsituationen vorgeschriebene.

Inwieweit beide Aufgaben durch eine Lüftung erfüllt werden können, muss im Einzelfall entschieden werden.

Regelmäßige Prüfungen

Dichtheitskontrollen bei Anlagen außer Betrieb

Frage  Einer unserer Kunden wird seine R 404 A-Anlagen während einer Umbauphase von ca. einem Jahr nicht betreiben. Besteht in diesem Zeitraum die Pflicht zur regelmäßigen Dichtheitskontrolle?

Antwort  Die Pflicht zur regelmäßigen Dichtheitskontrolle ist unabhängig davon, ob die Anlage eingeschaltet wird oder nicht. Die einzige Möglichkeit, die Dichtheitskontrollen zu vermeiden wäre, das Kältemittel für den Zeitraum der Außerbetriebnahme aus der Anlage zu entfernen. Ob sich dieser Aufwand für den Zeitraum von einem Jahr lohnt, ist natürlich fraglich.

Verordnungen

Behandlung von Wärmepumpen nach F-Gase-Verordnung

Frage  In Anhang III Verbote des Inverkehrbringens“ der Verordnung 517 / 2014 ist eine Reihe von Verboten für bestimmte Anlagenarten aufgeführt. Diese gelten beispielsweise ab 2020 für bestimmte Kälteanlagen mit Kältemittel mit einem GWP2500 und ab 2025 für kleine Mono-Split-Klimageräte mit Kältemittel mit GWP 750. Wie sind bei diesen Verboten die Wärmepumpen einzuordnen?

Antwort  Da in der gesamten Verordnung von Kälteanlagen, Klimaanlagen und Wärmepumpen“ die Rede ist, wird die Wärmepumpe als eigenständige Anlagenart behandelt und fällt in der Regel nicht unter einen der anderen beiden Begriffe.

Da in Anhang III der Verordnung 517 / 2014 die Wärmepumpen keine Erwähnung finden, gibt es keine besonderen Verbote für diese Art der Einrichtungen und sie können daher weiterhin mit allen fluorierten Treibhausgasen betrieben werden. Betroffen sind die Wärmepumpen allerdings auch von dem Phase-Down, also von der schrittweisen Verringerung der Menge an fluorierten Treibhausgasen und der damit voraussichtlich einhergehenden Verteuerung der Kältemittel, insbesondere derer mit hohem GWP-Wert.

Die Frage nach der Abgrenzung zwischen Wärmepumpe und Klimaanlage bei Geräten, die beide Funktionen erfüllen, wird vom Umweltbundesamt unter den häufig gestellten Fragen wie folgt beantwortet: Können Luft/Wasser-Wärmepumpen als Mono-Splitklimageräte angesehen werden? Nein, nur Luft/Luft-Systeme sind von Anhang III Nr. 15 erfasst. Allerdings zählen umschaltbare Luft/Luft-Systeme, die manchmal als Wärmepumpe bezeichnet werden, zu den Mono-Splitklimageräten.“

Auch wenn die Wärmepumpen zurzeit nicht von speziellen Verboten betroffen sind, sollten für Neugeräte bevorzugt Kältemittel mit niedrigem Treibhauspotenzial eingesetzt werden. Dazu gibt es bereits zahlreiche Angebote auf dem Markt.

Online-archiv

Im Internet sind unter

www.diekaelte.de

alle Themen der letzten Jahre gesammelt.

Fußnoten

F-Gase-Verordnung: Verordnung (EU) Nr. 517 / 2014 des Europäischen Parlaments und des Rates vom 16. April 2014 über fluorierte Treibhausgase und zur Aufhebung der Verordnung (EG) Nr. 842 / 2006

Häufig gestellte Fragen zur F-Gase-Verordnung http://www.umweltbundesamt.de/themen/wirtschaft-konsum/produkte/fluorierte-treibhausgase-fckw/rechtliche-regelungen/haeufig-gestellte-fragen-zu-f-gas-verordnung/abschnitt-9-inverkehrbringensverbote

Jetzt weiterlesen und profitieren.

+ KK E-Paper-Ausgabe – jeden Monat neu
+ Kostenfreien Zugang zu unserem Online-Archiv
+ Fokus KK: Sonderhefte (PDF)
+ Webinare und Veranstaltungen mit Rabatten
uvm.

Premium Mitgliedschaft

2 Monate kostenlos testen