Springe auf Hauptinhalt Springe auf Hauptmenü Springe auf SiteSearch

Das sollten Sie wissen …

Anlagenplanung

Berechnung der Wärmeabgabe von Geräten

Frage  Ich bin derzeit mit der Planung eines Projektes beschäftigt, bei dem ein Raum mit ca. 20 Kaskadenkühlschränken ausgestattet wird. Der Lüftungstechniker braucht nun von uns für die Auslegung der Lüftungsanlage die Angabe der Wärmeabgabe der Geräte in Watt. Für die Kühlschränke wird vom Hersteller nur der Energieverbrauch mit 4,8 kWh / 24 h angegeben. Benötigt wird aber die Wärmeabgabe in Watt. Ich habe mit mehreren Herstellern Kontakt aufgenommen, um eine Formel zur Umrechnung zu erhalten. Das Ergebnis war jedes Mal eine andere Formel und Werte, die meiner Meinung nach nicht korrekt sein können. Wie kann die Wärmeabgabe korrekt berechnet werden?

Antwort  Nur die Angabe der elektrischen Energie, die vom Gerät aufgenommen wird, hilft Ihnen nicht, um die Wärmebelastung für den Raum zu berechnen.

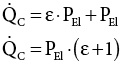
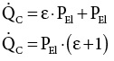
Die Wärmeabgabe des Gerätes , die den Raum belastet, setzt sich bei einem Kühlschrank aus der Aufnahmeleistung und der Kälteleistung zusammen.

(1)

Die Herstellerangabe in kWh/24 h Energieverbrauch“ entspricht einer Angabe für die Leistungsaufnahme

(2)

Hier handelt es sich sicherlich um einen Mittelwert.

Um die Leistung zu berechnen, benötigen Sie aber die Kältezahl. Diese wird sich mit Sicherheit auf die Umgebungstemperatur zu beziehen haben, denn die Verflüssigungstemperatur und damit die Kältezahl hängen von der Umgebungstemperatur ab. Es ist zu ungenau die Kältezahl nur abzuschätzen, da diese von Aufbau und Dimensionierung der Komponenten abhängig ist!

Wäre die Kältezahl bekannt, könnte man theoretisch die Verflüssigerleistung mit Hilfe der Leistungsaufnahme berechnen:

(3)

(3) in (1):

Eine genaue Angabe der Wärmeabgabe der Geräte für die Auslegung der Lüftung kann nur mit der Herstellerangabe über gemacht werden.

Im günstigsten Fall gibt der Hersteller einen Wert für die durchschnittliche Wärmeabgabe in kWh / 24 h an. Dieser kann mit der o. g. Formel (2) umgerechnet werden.

Sollten nicht alle Geräte gleichzeitig in Be-trieb sein, könnte die maximale Wärmeabgabe reduziert werden (Gleichzeitigkeitsfaktor“).

Hat das Kühlgut die Kühlschrankinnentemperatur erreicht, reduziert sich die Wärmebelastung für den Aufstellungsraum auf die elektrische Aufnahmeleistung des Gerätes.

Sachkundenachweise

Zertifizierungspflicht für mobile Anlagen

Frage  Ab 1. Juli 2017 gilt die Pflicht zur Zertifizierung auch für Personen, die Installation, Reparaturen, Wartungen etc. an Kühlaggregaten von Kühllastfahrzeugen und -anhängern ausführen. Als Servicefirma für solche Kühlaggregate hat sich unser Personal jetzt einer Sachkundeprüfung unterzogen und die Zertifizierung erhalten. Unser Antrag auf Erteilung der Unternehmenszertifizierung wurde aber von der zuständigen Bezirksregierung abgelehnt, mit dem Hinweis, dass Unternehmenszertifizierungen für Arbeiten an mobilen Kälteanlagen nicht vorgesehen sind. Benötigt unser Unternehmen nun tatsächlich keine Zertifizierung?

Antwort  Die Auskunft des Sachbearbeiters der Bezirksregierung ist natürlich korrekt. Die Durchführungsverordnung (EU)  2015/2067 sieht die Unternehmenszertifizierung nur für Unternehmen vor, die ortsfeste Kälteanlagen, ortsfeste Klimaanlagen oder ortsfeste Wärmepumpen installieren, reparieren, warten etc. Für mobile Anlagen ist demzufolge die Zertifizierung der natürlichen Personen, also deren Sachkundenachweis, ausreichend.

Für den Einkauf von Kältemitteln zum Befüllen mobiler Einrichtungen sollte das kein Problem sein, denn dieser Fall ist wie folgt geregelt:

Verordnung (EU) 517/2014: Artikel 11 Be-schränkungen des Inverkehrbringens

(4) Zum Zweck der Ausführung der Installation, Wartung, Instandhaltung oder Reparatur von Einrichtungen, die fluorierte Treibhausgase enthalten oder zu ihrem Funktionieren benötigen und für die eine Zertifizierung oder Bescheinigung nach Artikel 10 erforderlich ist, dürfen fluorierte Treibhausgase nur an und von Unternehmen verkauft und gekauft werden, die Inhaber der entsprechenden Zertifikate oder Bescheinigung nach Artikel 10 sind, oder an und von Unternehmen, die die Personen beschäftigen, die Inhaber eines Zertifikats oder einer Ausbildungsbescheinigung nach Artikel 10 Absätze 2 und 5 sind. (…)

Entwurf der neuen ChemKlimaschutzV:

§ 8 Inverkehrbringen, Verkauf und Kauf fluorierter Treibhausgase

(2) Fluorierte Treibhausgase dürfen für die in Artikel 11 Absatz 4 Satz 1 der Verordnung (EU)  Nr. 517 / 2014 genannten Zwecke nur von und an Unternehmen verkauft werden, die eine in § 6 Absatz 1 genannte Bescheinigung oder ein dort genanntes Unternehmenszertifikat vorweisen können oder, sofern eine Bescheinigung oder ein solches Zertifikat nicht vorgeschrieben ist, Personen beschäftigen, die eine Sachkundebescheinigung nach § 5 Absatz 1 Satz 1 Nummer 1 vorweisen können.

Wenn also für die Tätigkeiten an mobilen Einrichtungen keine Unternehmenszertifizierung gefordert wird, dann dürfen Sie Kältemittel zur Verwendung in Kühllastfahrzeugen auch ohne diese Bescheinigung kaufen.

Verordnungen

Was bringt das Jahr 2017 an Neuerungen?

Frage  Das Jahr 2016 geht in wenigen Wochen zu Ende. Daher stellt sich jetzt die Frage, was das nächste Jahr an wichtigen Neuerungen bringt.

Antwort  Natürlich gibt es auch 2017 zahllose Änderungen. Wir beschränken uns auf einige Punkte, die speziell für das Kälteanlagenbauerhandwerk wichtig sind.

Im Jahr 2017 laufen mehrere Übergangsfristen aus der F-Gase-Verordnung ab:

Anlagen, die weniger als 3 kg fluorierte Treibhausgase (bzw. weniger als 6 kg bei hermetisch geschlossenen Einrichtungen) enthalten, aber deren Füllmenge 5 t CO2-Äquivalent (bzw. 10 t CO2-Äquivalent bei hermetisch geschlossenen Einrichtungen) oder mehr erreicht, müssen ab 1. Januar 2017 regelmäßig auf Dichtheit kontrolliert werden und das Führen von Aufzeichnungen (z. B. Betriebshandbuch) wird Pflicht.

Die bereits seit Längerem vorgeschriebene Pflicht zur Kennzeichnung von Einrichtungen vor dem Inverkehrbringen wird erweitert. Ab 2017 muss zusätzlich zur bisherigen Kennzeichnung die Menge an fluorierten Treibhausgasen in Gewicht und CO2-Äquivalent sowie das Treibhaus- potenzial der Gase angegeben werden.

Ab 1. Januar 2017 dürfen Kälteanlagen, Klimaanlagen und Wärmepumpen, die mit teilfluorierten Kohlenwasserstoffen befüllt sind, nur in Verkehr gebracht werden, wenn die in die Einrichtung eingefüllten fluorierten Treibhausgase im Rahmen des Quotensystems erfasst sind. Beim Inverkehrbringen stellen die Hersteller oder Einführer eine in diesem Sinne lautende Konformitätserklärung zur Bestätigung der Einhaltung aus s. Durch-führungsverordnung (EU) 2016/879 der Kommission vom 2. Juni 2016 zur Festlegung der Einzelheiten der Konformitätserklärung für das Inverkehrbringen von Kälteanlagen, Klimaanlagen und Wärmepumpen (…)

Ab 1. Juli 2017 gelten für Personen, die Arbeiten an Kühlaggregaten von Kühllastfahrzeugen und -anhängern ausführen, die gleichen Sachkundeanforderungen (Zertifizierung) wie für stationäre Anlagen.

Im nächsten Jahr, voraussichtlich zum 1. Januar 2017, soll die Neufassung der natio-nalen Chemikalienklimaschutzverordnung in Kraft treten. Gravierende Änderungen sind allerdings nicht zu erwarten.

Eine weitere Änderung betrifft die Kältean-lagenbauermeisterverordnung1 (KälteanlMstrV), die bereits vor einem Jahr in Kraft getreten ist. Die Übergangsvorschriften sind inzwischen größtenteils abgelaufen und die Meisterprüfungen werden im nächsten Jahr auf die neue Prüfungsordnung umgestellt. Von den Neuerungen betroffen sind die Teile I und II, also der fachtheoretische und der fachpraktische Teil. Die Prüfung in den Teilen III und IV bestimmt hingegen nach wie vor unverändert die allgemeine Meisterprüfungsverordnung aus dem Jahr 2011.

Die Prüfungsanforderungen im fachtheoretischen Teil II wurden stark überarbeitet und in die Handlungsfelder Kälteanlagentechnik, Auftragsabwicklung sowie Betriebsführung / Betriebsorganisation untergliedert. In jedem dieser Handlungsfelder muss eine komplexe, fallbezogene Aufgabe bearbeitet werden, wobei eine übergreifende Verknüpfung stattfinden kann.

Im fachpraktischen Teil I hat der Prüfling ein komplexes Meisterprüfungsprojekt umzusetzen, muss neuerdings ein 30-minütiges Fachgespräch führen und anschließend noch eine auftragsorientierte Situationsaufgabe lösen, bei der eine Fehler- und Störungsanalyse in vier Stunden zu bewältigen ist.

Fußnoten

1 Verordnung über die Meisterprüfung in den Teilen I und II im Kälteanlagenbauer-Handwerk (Kälteanlagenbauermeisterverordnung – KälteanlMstrV) vom 16. Juli 2015

Jetzt weiterlesen und profitieren.

+ KK E-Paper-Ausgabe – jeden Monat neu
+ Kostenfreien Zugang zu unserem Online-Archiv
+ Fokus KK: Sonderhefte (PDF)
+ Webinare und Veranstaltungen mit Rabatten
uvm.

Premium Mitgliedschaft

2 Monate kostenlos testen